【导读】2016年可畏是各品牌手机的发布元年,IPhone、华为、小米、oppo可谓是百花争艳,各手机厂商纷纷以“超大容量电池”、“急速充电”等关键词来吸引眼球,唯独iphone还是默默沿用着传统充电模式,依旧不支持快充,为何IPhone如此自信?难道它的黑科技也能在5W输出下提升充电效率么,本文一探究竟。
本文将采用专业的功率测量仪器对整个的手机充电过程进行充电检测,以此来分析Iphone 手机的整体测试性能。如有不足之处欢迎留言指出。
首先准备好测试材料,先找一台测试仪器,小编在实验室找了很久终于协调到一台PA8000认证级功率分析仪,今天他在这里只是配角。

主角在这里,一只“空血”的Iphone 7PLUS以及原装充电器。

测试步骤很简单,只需要使用PA8000认证级功率分析仪同时检测充电器的输入端及输出端,然后通过机器自动算出转换效率以及功率积分即可。

这里使用了一个小工具——接线盒,使用起来还是很方便的,只需要接到接线板上即可完成测试,大大简化接线。

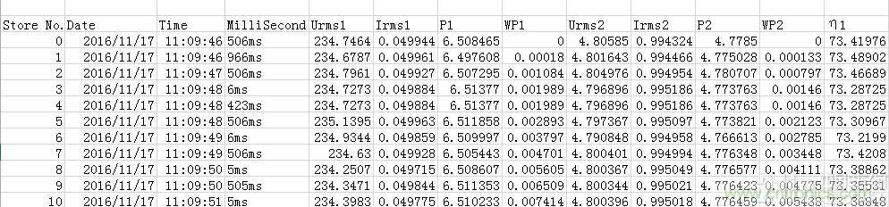
测试开始,开机之后Iphone充电器表现不错,以最大电流1A进行持续输出,但笔者注意到电压却一直停留在4.8V左右,达不到标称的5W输出功率。整体的转换效率在74%左右,根据美国能源局提出的DOE VI 的六级能效标准外置电源的平均转换效率在输出功率在5W时应该达到73.62%(计算得出),符合DOE VI 的六级能效标准。

接下来的操作就比较简单了,使用功率分析仪的积分功能,对整体的测试数据进行积分,并进行实时记录。

测试完毕后将全部的测试数据描绘成曲线,如下图:

总体来看,把一个Iphone7 Plus从空电冲到满电需要3.5个小时,还是有点久的,整个充电积分14.94Wh,可见它并没有什么黑科技,充电曲线也是中规中举,大家可以通过此曲线在合理时间内对手机进行充电,将大大提高充电体验。
推荐阅读:




