【导读】在经过了前三章的学习之后,接下来就要学习开关电源设计中的重点也是难点的变压器的设计。变压器参数是否合适对整个电源的效率、纹波、辐射等方面有重要影响,作者通过自己的实际经验所得的变压器的设计方法又有什么独特之处呢?一起来学习吧!
5.5变压器的设计
变压器是开关电源设计中的难点和重点,变压器参数是否合适对整个电源的效率、纹波、辐射等方面有重要影响。反激式变换器的变压器实际是一个耦合电感,它传递的是电流信号,因此匝比和输出电压没有直接关系,但是匝比会影响初级开关管和次级输出二极管的电压电流应力。
如果不考虑漏感尖峰电压,那么关断期间开关管承受的最大电压等于输入最大直流电压加上次级反射电压,输出电压一定时,变压器匝比越大,反射电压越高。另一方面,开关闭合导通期间,次级输出二极管承受的反向电压为初级反射电压加上输出电压,变压器匝比越大,初级反射电压越高,二极管承受的反向电压也就越高。所以匝比的选取需要综合考虑开关管和输出二极管的电压应力。
5.5.1确定最大占空比
在实际应用中,初级开关管的耐压通常是比较固定的,而次级输出二极管的选择则可以比较灵活,所以我们在下面的设计过程中从开关管的电压应力这一角度考虑。考虑输入电压最小时,对应最大的占空比,从第二节占空比的关系式可以得出次级反射电压与占空比存在如下关系:

前面提到过,一般限定最大占空比不超过0.5,在这里我们取0.45(这是计算时最常用的值)的话,得到图七所示电路中初级反射电压为:

不考虑漏感尖峰时开关管的电压应力为:

图六所示电路中RM6203内部开关管的耐压为700V,所以余量是比较充足的。通常情况下,我们为开关管的耐压流出20%左右的余量,例如耐压600V的开关管,一般将电压应力控制在480V左右。留有的余量过小,将会导致尖峰抑制电路的设计变得非常困难。如果求出的电压应力过大,就应该通过减小最大占空比重新计算。
往期精彩回顾:
大牛独创:反激式开关电源设计方法及参数计算
大牛独创(二):反激式开关电源设计方法及参数计算
大牛独创(三):反激式开关电源设计方法及参数计算
[page]
5.5.2确定变压器初级电感量
前面提到,反激式变换器的变压器可以看做是耦合电感,初级电感量是变压器最为重要的参数之一,它直接影响电流纹波和变换器的工作模式。根据第一节的关系式,初级电感量满足如下关系:

其中fsw为开关频率。而电感中变化的电流与电感平均电流之间有如下关系:

图十一:初级电感电流波形图
如图十一重新给出初级电感电流波形,如果一个周期中开关闭合期间,全部输入能量存储在初级电感中,那么输入功率可以按如下关系求得:

由上面三个式子综合得出初级电感量可以通过如下关系式求得:

前面提到过,对于最大输出功率时对应连续工作模式的反激式变换器,KRF取在0到1之间,而在实际应用中,对于85-265VAC输入的应用,KRF通常在0.3-0.6之间选取,取值越大,电流纹波越大。
[page]
仍然以图七中电路为例,取KRF=0.4,计算得到初级电感量如下:

其中RM6203的开关频率为60KHz。
5.5.3确定磁芯体积
磁芯的选取应同时考虑磁芯截面积Ae和磁芯的窗口面积Aw,常用的经验公式如下(摘自飞兆半导体《采用FPS的反激式隔离AC-DC开关电源设计指南》):

上式中,Bmax为磁芯最大磁通密度,必须小于饱和磁通密度,对于一般的铁氧体磁芯,饱和磁通密度在0.39T左右,这里选取最大磁通密度Bmax为0.3T-0.35T之间。式中用到了开关管的峰值电流和有效值电流两个参数,在离线式反激式变换器中,开关管电流波形和初级电感电流波形一致,因此,这两个参数也就是初级电感峰值电流和有效值电流。
从图十一中可以看出,初级电感峰值电流由下式求得:

需要注意的是,根据上述计算得到的Ap值只是一个起点,实际选取磁芯的Ap值一般会比这个值大,甚至大很多。在工程应用中,输出功率和开关频率确定的情况下,相应的磁芯体积也就大致确定了。图七所示电路中的变压器实际使用了EE20型磁芯,Ae=39mm2,Aw=63mm2,Ap=39*63=2457mm4。
[page]
5.5.4确定匝比和初次级匝数
磁芯选定后,根据第4节的关系式,我们知道,当电感量、磁芯面积和电流一定时,匝数越多,磁芯的磁通密度越小。初级绕组在峰值电流处达到最大的磁通密度,因此可以求出初级线圈所需的最少匝数,计算关系式如下:

Bmax为磁芯工作时的最大磁通密度,为了防止磁芯饱和,Bmax必须小于饱和磁通密度Bsat。对于常用的功率铁氧体,饱和磁通密度一般为0.35-0.39T。Bmax的取值越小,磁芯损耗也越小。具体计算过程中应注意单位,其中L的单位为H,Bmax单位为T,Ae单位为m2。
对图七所示电路,取Bmax为0.28T,计算初级绕组线圈匝数为:

在5.5.1中,通过设定最大占空比求得了次级反射电压Vor,由于次级反射电压和次级电感电压服从匝比关系,因此匝比由以下公式计算:

实际应用中,取整数值11或者12。二极管的正向压降VD根据二极管的类型选取,对于反向耐压40V以内的肖特基二极管,取0.5V;对于反向耐压大于40V的肖特基二极管,取0.7V-1V;对于快恢复二极管,取1V-1.5V。
初级绕组匝数和匝比确定后,就可以算出次级绕组匝数,对图七所示电路,取匝比11和12时分别有:

果选取匝比11,得到的次级绕组匝数不为整,此时可以适当增加初级绕组匝数,例如将初级增加到99T时,次级可以取9T。下面我们仍然按照匝比12来计算。
[page]
得到了初级和次级匝数后,需要进一步求得辅助供电绕组的匝数。如果次级不止一组,还要求出次级其它绕组的匝数。开关管关断期间,所有的次级绕组电压服从匝比关系,假设辅助供电绕组匝数为Na,另有一组次级匝数Ns2,则有如下关系式:

由上面的关系式可以得出辅助供电绕组和其它次级绕组的匝数。其中Vcc为控制IC的供电电压,VO2为另一绕组的输出电压,VDa和VD2分别为辅助供电绕组和另一组次级绕组的输出二极管正向压降。一般情况下,辅助供电绕组的电流很小,相应的输出二极管要求不高,通常使用1N4148之类的小信号高速开关二极管。图七所示电路中,RM6203的工作电压范围为4.8V-9V,取7V得到辅助供电绕组匝数为:

取整数11T。
5.5.5估算气隙长度
由于铁氧体材料的相对磁导率很高,当线圈中通入较小的电流时,就能在磁芯中产生很大的磁通密度,使磁芯迅速进入饱和。为了防止磁芯饱和,必须限制磁芯中的磁通密度摆幅,最常用的方法就是在磁芯中增加气隙。由于空气或者非导磁材料的相对磁导率很低,因此长度很短(零点几毫米到几毫米)的气隙就能使得磁阻大大增加,从而使得磁通密度大大减小,有效防止大电流情况下磁芯饱和。

图十二给出了增加了气隙时和没有增加气隙时的B/H曲线。图中实线为没有加气隙的铁氧体磁芯磁滞回线,虚线为加有气隙的磁滞回线。显然,加有气隙后,尽管磁芯的饱和磁通密度没有改变,但是磁滞回线的斜率大大减小了(相当于相对磁导率降低)。也就是说,同样的电流激励下,增加气隙后的磁芯磁通密度摆幅大大减小,从而磁芯可以承受比没有气隙时大得多的电流偏置。
[page]
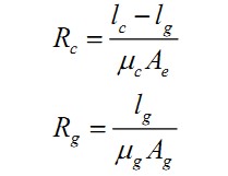
反激式变换器的设计中,提前估算出气隙的长度是很重要的,这样在试制变压器的过程中能够做到心中有数。对于给出的计算公式,多数工程人员没有理解其来源,如果一味搬用,在选取各参数的单位时,容易出现困惑。下面根据磁学基本知识推出气隙长度的估算方法:


其中lc和lg分别表示磁芯材料磁阻长度和气隙的长度,μc和μg分别表示磁芯材料的磁导率和气隙的磁导率,Ae和Ag分别表示磁芯材料的截面积和气隙截面积。如果气隙只加在中柱,那么Ae和Ag是相等的,等于磁芯材料的中柱截面积。
从上面三式可以整理得出电感量的计算公式如下:

由于气隙一般为空气或者非导磁材料,所以气隙磁导率非常接近真空磁导率并且远小于磁芯材料的磁导率,那么上式中可以忽略分母中第一项,并且将分子部分的μc和分母部分的(μc-μg)约去,最后得到如下形式:

[page]
最后将气隙的磁导率取成真空中的磁导率,就得到如下的气隙长度就算公式:

为了避免出现单位上的混乱,上式一律采用国际单位制,Ae单位为m2,L的单位为H,最后得到lg的单位为m。在反激式变换器的计算中,L即初级电感量。
下面以图七所示电路为例:

根据得到的气隙长度,在试制变压器的过程中,有两种方法来实现这个气隙,一种方法是将磁芯的中柱磨掉一部分,磨掉的长度大约等于计算得到的气隙长度。由于计算误差和测量的误差,设计操作时,采用边磨边测电感量的方法,直到测得的初级电感量在一定误差内接近计算得到的电感量为止。另一种方法是垫气隙,即在磁芯的中柱和边柱中间垫上非导磁薄膜材料,例如云母片、塑料片等,此时由于实际的气隙长度等于中柱的气隙长度加上边柱的气隙长度,所以薄膜的厚度约等于计算得到气隙长度的二分之一。同样,垫气隙时仅以计算得到的气隙长度作为参考,边垫边测直到初级电感量满足要求。
至此,变压器磁学部分的计算完毕,关于绕组线径的选取,将在下面的小节中讨论。
相关阅读:
PCB布局该这么做!150W LED驱动电源拆解学习
http://www.cntronics.com/power-art/80021947
大盘点:详解五种开关电源PWM反馈控制模式
http://www.cntronics.com/power-art/80021961
盘点:几种LED驱动方式对比及LED驱动电源的选择
http://www.cntronics.com/power-art/80021913






