中心议题:
- Buck电路开关电源纹波的定义
 - Buck电路产生纹波的机理及计算
 - 影响纹波的因素分析及抑制措施
 
解决方案:
- 考虑开关频率、L和C的取值
 - 降低ESR
 
开关电源具有效率高、输出电压可调范围大、损耗小、体积小、重量轻等特点,得到了广泛的应用。由于开关电源体积小,输出直流电压的纹波含量比同功率线性电源大,如何降低纹波含量成为开关电源应用及制造技术中的一个关键技术难点。本文通过对Buck电路的分析,找出对纹波的产生有影响的因素及改善的措施。
1 纹波的定义
Buck类型开关电源的拓扑结构如图1所示。

通常情况下,开关电源首先把电网电压全波整流变为直流电,经高频开关变换由变压器降压,经高频二极管整流滤波后,得到稳定的直流电压输出。其自身含有大量的谐波干扰,同时由于变压器的漏感和输出二极管的反向恢复电流造成的尖峰都形成了电磁干扰源,这些尖峰就是输出纹波。输出纹波主要来源于4个方面:低频纹波、高频纹波、共模纹波、功率器件开关过程中产生的超高频谐振等。
2 Buck电路产生纹波的机理及计算
2.1 纹波电流计算
电感的定义:

λ为线圈磁链;N为线圈匝数;i为流经线圈的电流;Φ为线圈磁通。如果式(1)两端以时间t为变量进行微分计算,可得:

这便是大家所熟知的电感电压降回路方程。
现在假设对于每个单独的开关周期,在开关管导通状态和关断状态,输入输出电压都基本没有变化,可以写出导通状态和关断状态时的L两端的电压。
导通状态L两端的电压:
![]()
关断状态L两端的电压:
![]()
Vsat为开关管的导通压降;VF为二极管的导通压降。
由于Vsat和VF相对于Vi和Vo很小,这里忽略不计,可以得到:

可以看出Von和Voff都是常数,即对于
,不论在导通状态还是在关断状态都有:
[page]
为常数,所以可以用
替换
,代入式(4)并整理得:
![]()
可以认为Δi就是电感线圈中的纹波电流,将导通和关断状态时的时间和电压式(2)和式(3)代入上式,分别写出导通状态和关断状态时的纹波电流表达式:

Δion为导通状态纹波电流;ton为导通时间;Δioff为关断状态纹波电流;toff为关断时间。
在电源稳定工作时,
![]()
 ΔiL为线圈上纹波电流的绝对值。将式(5)和式(6)代入式(7),整理得:

进而得出:

fs为开关频率。
将式(8)代入式(5),得:

式(9)即为纹波电流的表达式。
2.2 纹波电压计算
注意到在输出部分,电感电流在电容C和负载之间分割,有:
![]()
设在稳态下,输出到负载的电流不变。所以有:
![]()
这也是一种近似,因为就算是负载恒定不变,由于电压纹波的影响,电流也会改变的,但由于这个变化量和ΔiL相比很小,所以在此忽略。如果不忽略,也可以推导出更复杂的表达式。ΔiC加之于C就会产生纹波电压。
首先计算第一部分。当ΔiC流过理想电容C时,在C两端产生的电压变化:
![]()
取积分下限为ton/2,积分上限为toff/2,计算积分得:

计算第二部分,对于一般电容,都具有串联等效电感和串联等效电阻(其实还有并联等效绝缘电阻)。串联等效电感只在较高频率时起作用,在分析开关频率时可以将其忽略,但必须考虑的是串联等效电阻ESR.电流ΔiC流过ESR时,会在ESR两端产生电压降,其值为:
![]()
ΔVESR也会作为纹波的一部分表现在输出端上,所以总的纹波表达式为式(10)和式(11)的和,即:
[page]
Vro为总纹波;ESR为C的等效串联电阻。
式(12)即是Buck类型开关电源的纹波电压的近似表达式,其中的每个变量都是影响纹波的因素,调整这些变量就是调整纹波的主要方法。
3 影响纹波的因素分析及抑制措施
根据式(12),逐一分析影响纹波电压的因素

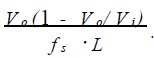
1)首先观察括号内的因素:试取一个典型的值计算一下,如fs=300kHz,C=470μF,可知为

尽管对于ESR的计算要考虑很多因素,一般情况下,电解电容和若干陶瓷电容并联后的等效电阻ESR在十几到几十mΩ之间,由此可见ESR是纹波产生的主要因素,并且C取值的增加不会显着改变纹波。
2)其次观察等式右边的前半部分

如果L或者fs增大,则Vro变小,可以减小纹波,即增大电感的值和提高开关频率可以降低纹波。
3)最容易忽略的是输出电压和纹波的关系。考察Vo对Vro的变化率。
在所有其他因素都不改变的条件下,将Vro对Vo求导,可得:

其中:

令
有
,此时电源输出的纹波最大。
Vo无论大于还是小于这个值,纹波都将减小。由该规律可以推算输出电压调整的电源模块的纹波。
4)在实际工作中,一切可以调整的因素都是相对稳定的,并且带有一定的实际工作误差。因此在考虑开关频率、L和C的取值的时候,要考虑干扰因素,选取受到很多因素影响的一个折中的结果。调整这些取值要考虑其他制约因素,下面列举一些制约因素,在调整参数时需要注意:
a)提高开关频率将使系统功耗增大,电源效率降低,温度升高,带来散热问题。
b)开关频率受到开关管、控制芯片、二极管及其他因素的限制,不能无限提高。
c)提高L的值会使电感体积增加,成本增加,而电感的选择面是比较窄的。
d)无论是修改L、C或是开关频率,都要注意电源的稳定性。
通过上述分析可以得知,降低ESR可以降低纹波干扰,即在实际通常使用电解和若干瓷片电容并联的方法降低输出C的ESR,进而降低纹波干扰。
4 结语
本文通过对Buck电路中元器件的计算公式,推导出纹波电压、电流的计算公式。根据影响因素,对电感量、电容量的选择进行分析比较,从而得出纹波的抑制方法。然而问题并没有完全解决,下面的问题更加值得关注与了解:
1)各类电解电容和各类薄膜电容的ESR特性是什么;
2)各类电容的ESR受哪些因素的影响;
3)如何估算电容并联的ESR;
4)输出电容的相对位置对ESR有何影响。
前两个问题可以通过基本的性能实验求解,第三个问题则需要使用解析和仿真的方法来进行解决,而第四个问题就需要加强基础和理论深入的研究。




