【导读】利用ADC、PLL和RF收发器的现代信号处理系统设计通常需要更低的功耗和更高的系统性能。为这些噪声敏感的设备选择合适的电源始终是系统设计人员的难点。这些设计总是需要在高效率和高性能之间做出取舍。
传统上,LDO稳压器通常被用于为那些噪声敏感的设备供电。LDO稳压器能够抑制系统电源中经常出现的低频噪声,并且为ADC、PLL或RF收发器提供干净的电源。但是LDO稳压器通常效率较低,尤其是在LDO稳压器必须将高于输出电压几伏的电源轨降压的那些系统中。在这种情况下,LDO稳压器通常可提供30%至50%的效率,而使用开关稳压器则可实现90%甚至更高的效率。
开关稳压器虽然比LDO稳压器效率更高,但它们的噪声太大,无法在不显著降低ADC或者PLL的性能的同时,直接为它们供电。开关稳压器的噪声源之一是输出纹波,它可能在ADC的输出频谱中表现为明显的信号音或杂散。为避免降低信噪比(SNR)和无杂散动态范围(SFDR),最大程度地减少开关稳压器的输出纹波和输出噪声非常重要。
为了同时保持高效率和高系统性能,通常需要在开关稳压器的输出端增加一个次级LC滤波器(L2和C2),以减少纹波和抑制噪声(如图1所示)。然而,二级LC输出滤波器也具有相应的缺点。理想情况下,功率级传输函数的建模为四阶系统,很不稳定。如果再考虑电流环路1的采样数据效应,则完整的控制至输出的传递函数为五阶系统。另一种替代解决方案是检测初级LC滤波器(L1和C1)点的输出电压来稳定系统。然而,当负载电流很大时,由于次级LC滤波器上的压降很大,应用这种方法会导致输出电压调节性能较差,这在某些应用中令人无法接受。
本文提出了一种新的混合反馈方法,能够在应用中采用带有次级LC滤波器的开关稳压器为ADC、PLL或RF收发器提供高效率、高性能的电源,同时在所有负载条件下提供足够的稳定性裕量并保持输出精度。
有些已经发表的关于带有次级LC输出滤波器的DC-DC转换器的研究性文章2-5,具体而言,"带有低电压/高电流输出的二级DC-DC转换器的控制环路设计" 和 "带有二级LC输出滤波器的高带宽交流电源的多环路控制方案的比较评估" 这两篇文章讨论了二级电压模式转换器的建模和控制(该转换器不能直接应用于电流模式转换器)。文章"用于电流模式控制转换器的次级LC滤波器分析和设计技术" 和 "用于多模块转换器系统的三环路控制"讨论了带有次级LC滤波器的电流模式转换器的分析和建模。不过,这两篇文章都假设次级电感的电感值比初级电感小得多,这在实际应用中并不总是合适。

图1. 带有次级LC滤波器的电流模式降压转换器的电路图。
本文的内容提纲如下:
分析了具有次级LC滤波器的降压转换器的小信号建模。提出了一个新的五阶控制至输出的传递函数,无论外围电感和电容参数如何,都非常精确。
提出了一种新的混合反馈方法,可在提供足够的稳定性裕量的同时保持输出电压良好的直流精度。首次分析了反馈参数的限值,为实际设计提供了基本依据。
基于功率级小信号模型和新的混合反馈方法,设计了补偿网络。利用奈奎斯特图评估了闭环传递函数的稳定性。
提供了一个基于电源管理产品 ADP5014的简单设计实例。借助次级LC滤波器,ADP5014在高频范围内的输出噪声性能甚至优于LDO稳压器。
附录I和附录II分别列出了功率级和反馈网络所需的小信号传递函数。
功率级小信号建模
图2显示了对应于图1的小信号框图。控制环路由内部电流环路和外部电压环路组成。电流环路中的采样数据系数He(s)是指RaymondB. Ridley在"用于电流模式控制的新型连续时间模型"中提出的模型。请注意,在图2所示的简化小信号框图中,假设输入电压干扰和负载电流干扰为零,因为本文不讨论与输入电压和负载电流相关的传递函数。

图2. 带有次级LC滤波器的电流模式降压转换器的小信号框图。
降压转换器示例
使用电流模式降压转换器所演示的新的小信号模型具有以下参数:

电流环路增益
我们关心的第一个传递函数是在占空比调制器的输出点测得的电流环路增益。由此产生的电流环路传递函数(见附录I中的公式16)表现为具有两对复数共轭极点的四阶系统,该系统产生两个系统谐振频率(ω1和ω2)。这两个谐振频率均由L1、L2、C1和C2决定。 负载电阻RL以及C1和C2产生主零点。一对复数共轭零点(ω3)由L2、C1 和C2决定。此外,电流环路中的采样数据系数He(s)将在开关频率的1/2处引入一对复数的右半平面(RHP)零点。
与不带次级LC滤波器的传统电流模式降压转换器相比,新的电流环路增益增加了一对复数共轭极点和一对复数共轭零点,并且它们彼此的位置非常接近。

图3. 降压转换器电流环路增益。
图3显示了具有不同外部斜坡值的电流环路增益图。对于没有外部斜率补偿(Mc = 1)的情况,可以看出电流环路中的相位裕量非常小,这可能导致次谐波振荡。通过增加外部斜率补偿,增益和相位曲线的形状不会改变,但增益的幅度将减小,相位裕量将增加。
控制至输出增益
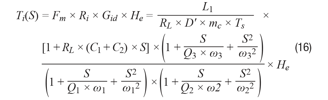
当电流环路闭合时,会产生一个新的控制至输出的传递函数。由此产生的控制至输出的传递函数(见附录I中的公式19)表现为具有一个主极点(ωp)和两对复数共轭极点(ωl和ωh)的五阶系统。主极点主要取决于负载电阻RL、C1,和C2。频率较低的一对共轭极点由L2、C1和C2确定,而频率较高的一对共轭极点位于开关频率的1/2处。此外,C1的ESR和C2的ESR分别影响两个零点。
图4显示了具有不同外部斜坡值的控制至输出的环路增益图。与传统的电流模式降压转换器相比,在带有次级LC滤波器的电流模式降压转换器的控制至输出的增益中增加了一对复数共轭极点(ωl)。额外的谐振极点可以提供最大可达180°的额外的相位延迟。相位裕量将急剧下降,即便使用III型补偿系统也会很不稳定。此外,图4清楚地显示了随着斜率补偿的增加,从电流模式控制到电压模式控制的转换。

图4. 降压转换器的控制至输出的传递函数
混合反馈方法
本文将介绍一种新的混合反馈结构,如图5(a)所示。混合反馈的构思是通过利用来自初级LC滤波器的附加电容反馈来稳定控制环路。从输出端经过电阻分压器的外部电压反馈定义为远程电压反馈,而经过电容器CF的内部电压反馈将在下文中定义为本地电压反馈。远程反馈和本地反馈在频域上承载不同的信息。具体而言,远程反馈检测低频信号以便提供良好的直流输出调节,而本地反馈检测高频信号以便为系统提供良好的交流稳定性。图5(b)显示了对应于图5(a)的简化小信号框图。

图5. 使用所提出的混合反馈方法的电流模式降压转换器,图(a)所示为电路图,图(b)所示为小信号模型。
反馈网络的传递函数
由此产生的混合反馈结构的等效传递函数(见附录II中的公式31和公式32)与传统电阻分压器反馈的传递函数明显不同。新的混合反馈的传递函数零点比极点更多,并且额外的零点将在由L2和C2确定的谐振频率处产生180°的相位提前。因此,利用混合反馈方法,控制至输出的传递函数中的附加相位延迟将通过反馈传递函数中的附加零点进行补偿,这可以实现基于整个控制至反馈的传递函数的补偿设计。
反馈参数的限值
除了功率级中的那些参数之外,反馈传递函数中还包含两个参数。众所周知,参数β(见附录II中的公式30)是输出电压放大率。而参数α则是一个全新的概念。
可以调整反馈参数α(参见附录II中的公式29)来理解反馈传递函数的行为。图6显示了当α减小时反馈传递中零点的变化趋势。该图清楚地表明,随着α逐渐减小,一对共轭零点将从左半平面(LHP)向RHP推进。

图6. 反馈参数α对反馈网络零点的影响。
图7是具有不同α值的反馈传递函数的曲线图。它表明当α减小至10-6时(例如:RA = 10k,CF = 1 nF),反馈网络的传递函数将表现为180°的相位延迟,这意味着复数零点已成为RHP零点。反馈传递函数已简化为新形式(参见附录II中的公式33)。要将零点保持在LHP中,参数α应始终满足以下条件:

公式1给出了反馈参数α的最小限值基准。只要满足这一条件,控制系统就很容易保持稳定。但是,由于RA和CF在负载瞬态跳变期间将作为输出电压变化的RC滤波器工作,因此负载瞬态性能将因很大的α值而降低。所以α值不应该太大。在实际设计中,建议参数α比最小限值大20%到30%左右。

图7. 具有不同参数α的混合反馈网络的传递函数。
环路补偿设计
设计补偿
控制至反馈的传递函数GP(s)可以通过控制至输出的传递函数Gvc(s)和反馈传递函数GFB(s)的乘积导出。补偿传递函数GC(s)设计为具有一个零点和一个极点。控制至反馈的传递函数和补偿传递函数以及闭环传递函数TV(s)的渐近波特图如图8所示。以下步骤说明了如何设计补偿传递函数。
确定穿越频率(fc)。由于带宽受fz1限制,建议选择小于fz1的fc
在fc处计算GP(s)的增益,而GC(s)的中频带增益应为GP(s)的相反数
将补偿零点置于功率级的主极点(fp1)处
将补偿极点置于由输出电容C1的ESR产生的零点(fz2)处。

图8. 基于所提出的控制至输出和混合反馈的传递函数的环路增益设计。
使用奈奎斯特图分析稳定性
根据图8,闭环传递函数TV(s)已经三次经过0dB点。奈奎斯特图用于分析闭环传递函数的稳定性,如图9所示。由于曲线图远离(–1,j0),闭环稳定并具有足够的相位裕量。请注意,奈奎斯特图中的点A、B和C对应于波特图中的点A、B和C。

图9. 闭环传递函数的奈奎斯特图。
设计示例
ADP5014对许多模拟模块进行了优化,可在低频范围内实现更低的输出噪声。当VOUT设置为小于VREF电压时,单位增益电压基准结构也可使输出噪声与输出电压设置无关。设计中又增加了一个次级LC滤波器,从而可以衰减高频范围的输出噪声,特别是对于基波下的开关纹波及其谐波。图10显示了设计详情。

图10. 由带有次级LC滤波器的ADP5014供电的RF收发器。
图11显示了ADP5014在10 Hz至10 MHz频率范围内的噪声谱密度测量结果,以及10 Hz至1 MHz频率范围内的积分有效值噪声,与之作比较的 ADP1740则是另一款传统的2A低噪声LDO稳压器。ADP5014在高频范围内的输出噪声性能甚至优于ADP1740。

图11. ADP5014与ADP1740的输出噪声性能比较,图(a)所示为噪声谱密度,图(b)所示为积分有效值噪声。
结论
本文介绍了用于建模和控制带有次级LC输出滤波器的电流模式降压转换器的通用分析框架,讨论了精确的控制到输出的传递函数,提出了一种新的混合反馈结构,并对反馈参数限值进行了推导。
设计示例表明,带有次级LC滤波器和混合反馈方法的开关稳压器可以提供干净、稳定的电源,性能堪比LDO稳压器,甚至更好。
本文中的建模和控制主要关注电流模式降压转换器,但此处描述的方法也适用于电压模式降压转换器。
附录I
图2中的功率级传递函数如下。

其中:


其中:L1为初级电感。
C1 为初级电容。
RESR1 为初级电容的等效串联电阻。
L2 为次级电感。
C2 为次级电容。
RESR2 为次级电容的等效串联电阻。RL为负载电阻。
电流环路中的增益模块如下。

其中:

其中:Ri为等效电流检测电阻
Se 为斜率补偿的锯齿斜坡
Sn 为电流检测波形的导通时间斜率
Ts 为开关周期
电流环路增益为

其中:
其中:
D 为占空比
根据图2,增益块kr的计算如下
控制至输出的传递函数为

其中:


附录II
在图5中,本地反馈和远程反馈传递函数为

根据公式1至公式27,控制至反馈传递函数的计算如下

其中

其中:RA为反馈电阻分压器的上部电阻
RB 为反馈电阻分压器的下部电阻
CF 为本地反馈电容
等效反馈网络传递函数为

近似反馈传递函数为
其中:
在典型的低噪声应用中,通常应用单位增益电压参考结构,因此参数β将等于1。那么,反馈传递函数为
参考电路
1Raymond B. Ridley,“用于电流模式控制的新型连续时间模型”,《IEEE电源电子会刊》,第6卷第2期,1991年。
2Julie Yixuan Zhu 和 Brad Lehman,“带有低电压/高电流输出的二级DC-DC转换器的控制环路设计.” ”,《IEEE电源电子会刊》,第20卷第1期,2005年。
3Patricio Cortes, David O. Boillat, Hans Ertl, 和 Johann W. Kolar. “带有二级LC输出滤波器的高带宽交流电源的多环路控制方案的比较评估”,IEEE可再生能源研究与应用国际会议,2013年。
4Raymond B. Ridley. “用于电流模式控制转换器的次级LC滤波器分析和设计技术”,《IEEE电源电子会刊》,第3卷第4期,1988年。
5Byungcho Choi, Bo H. Ch, Fred C. Lee, 和 Raymond B. Ridley. “用于多模转换器系统的三环路控制”,《电力电子IEEE电源电子会刊》,第8卷第4期,1993年。
推荐阅读:




