【导读】削弱电磁干扰 (EMI) 是所有电子系统中存在的问题。许多规范将电磁兼容性 (EMC) 与适应规定屏蔽下干扰功率谱级的能力相关联,恰恰证明了这一点 [1]。尤其是高频开关 DC/DC 转换器,开关换向过程中存在的高转换率电压和电流可能在稳压器自身(EMI 源)以及附近的敏感电路(受 EMI 干扰的设备)中产生严重的传导和辐射干扰。本系列文章 [1-8] 的第 5 部分和第 6 部分回顾了多种适用于非隔离稳压器设计的 EMI 抑制技术。第 7 部分和第 8 部分回顾了隔离设计中的共模 (CM) 噪声及其抑制技术。
一般而言,遵守电磁标准对于开关电源愈发重要,这不仅局限于总光谱能量过大,更多的原因是能量集中在基本开关频率及其谐波的特定窄带中。为此,第 9 部分提出通过扩频调频 (SSFM) 技术将频谱能量分配到频谱中,使基波和谐波噪声峰值幅值变得平整。图 1 所示的扩频效应可作为本系列文章前几部分中介绍的 EMI 抑制技术的补充降噪方法。

图 1:扩频效应
扩频调制
本系列文章第 5 部分和第 6 部分中探讨的 EMI 抑制技术重点关注减小天线因子,实现方式为谨慎使用高转换率电流 (di/dt) 回路布局以及采用适当的缓冲电路和栅极驱动电路设计来避免剧烈的瞬态电压 (dv/dt)。这些方法通过降低总功率来调整传导噪声和/或辐射噪声功率频谱的形状,主要对高频有效,对于低频的作用效果可能较为有限。
相反,1992 年首次针对 DC/DC 转换器提出的扩频调制(也称为抖动)[9] 希望在不影响总噪声功率的前提下针对传导和辐射干扰功率谱的形状进行调整。通过在时域中对基准时钟信号进行频率调制 (FM),会根据调制信号在频域中对基波和谐波分量进行扫频 [9-14]。如图 1 所示,每个谐波均转化为若干个幅值较小的边带谐波。噪声频谱从大频谱峰值集中在开关频率及其谐波处的一系列频谱变为更加平缓、峰值更小并且更加连续的频谱。
从实际 EMC 的角度来看,当窄带 EMI 源的信号频率与受 EMI 干扰的敏感频率范围相匹配时,可在给定时间窗口内传输大量功率,受 EMI 干扰的设备受到干扰或发生故障的概率随之增大。如果将 EMI 源信号扩展到大于受 EMI 干扰设备的敏感带宽,耦合到受干扰设备的噪声功率随之减小,从整体改善 EMI 性能和可靠性。
周期性调制函数
周期性扩频调制技术的主要作用是将各谐波扩展到预设频段,降低峰值幅值并减弱 EMI 水平。在这一背景下,公式 1 提供了通过扩频调制对正弦载波进行调频的一般分析表达式:

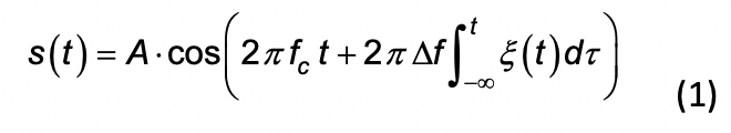
其中 A 是未调制信号的幅值,fc 为载波频率,Δf 是频率偏差。
归一化周期调试函数为 ξ(t),反映了扩频的频率变化。表 1 列出了正弦波、三角波和指数(也称为三次方或“好时之吻”)调制曲线 [10] 的数学表达式。其中,kT 是三角波曲线的对称指数,取值范围为 0 到 1,p 用于指定指数曲线的凹度系数。如果 kT 为 0.5,则三角波曲线具有对称的三角形图案。

表 1:正弦波、三角波和指数调制曲线,其中 fm 和 Tm 分别为调制信号频率和周期
图 2 所示为采用 10kHz 调制频率的正弦波、三角波和指数调制信号。图中还可以看出,通过调制 100kHz 正弦载波信号得出的相应扩频结果与公式 1 一致。每个图象的顶部均指出明显的瞬时载波工作频率。

图 2:fc = 100 kHz、Df = 50 kHz、fm = 10 kHz、kT = 0.5 和 p = 70 kHz 时的正弦波 (a);三角波 (b) 和指数 (c) 调制曲线
其它相关项分别为公式 2 和 3 得出的调制系数与调制比:

s(t) 的总功率等于 A2 / 2。根据卡森带宽规则,总功率使用扩频技术分配,即扩频后的能量有 98% 包含在公式 4 中给出的带宽 B 中(请参见图 1):
对于更为复杂的波形,比如开关节点电压波形或 DC/DC 转换器的输入电流波形,更改瞬时频率相当于对傅里叶级数展开的每个构成谐波应用公式 1。唯一的区别在于会将第 n 次谐波在 n 倍卡森带宽(由公式 5 得出)的带宽范围内进行扩频。 
s(t) 频谱的实际形状由 Df 和 ξ(t) 决定。如果 ξ(t) 是周期为 Tm 的周期函数,则 s(t) 的频谱呈离散状态,这意味着可将信号分解为一系列频率为 fc ± k/Tm 的正弦音调,每个信号的幅值为 Ak。可通过贝塞尔函数计算正弦调制的 Ak [9,10],而三角波调制的频谱形状已通过 Matlab 仿真进行评估 [11]。
真正连续的功率频谱只能通过非周期调制函数获得(如使用混沌序列发生器或随机序列发生器获得),并通过功率频谱密度进行描述。与周期扩频技术相反,非周期调制测得的频谱形状与测量仪器的分辨率带宽 (RBW) 设置无关 [15,16]。下一节将探讨 RBW 对于 EMI 测量的影响。
虽然正弦扩频技术更易于分析和实现,但无法获得最佳频谱形状并且谐波衰减未达到最大程度。如图 3 所示,调制波形频谱中的能量趋向于集中在调制波形中时间导数较小、靠近正弦波形波峰和波谷的各点对应的频率。另一方面,指数调制函数具有最平坦的频谱,可针对靠近卡森带宽两端出现的二阶效应而产生的峰值进行补偿,进一步减小 EMI。然而,指数波形在实践中难以实现,通常需要复杂的失真电路或查询表。

图 3:正弦波 (a)、三角波 (b) 和指数 (c) 调制曲线及频域特性
线性三角形调制代表图 3 所示的调制曲线之间已达到良好的折中,很容易在模拟和数字域中实现。通过选择经过优化并且正确定义的三角波驱动信号频率,最大限度地降低测得的 EMI 频谱的峰值,可以为汽车等大批量、成本优化型应用提供稳健的设计。
通过扩频优化 EMI 抑制
国际规定要求使用 EMI 接收器进行测量。EMI 接收器的本质是额外配备一些输入滤波器的模拟频谱分析仪。鉴于测量 EMI 的超外差频谱分析仪的复杂性 [16](特别是解调包络检波器和峰值/准峰值/平均值检波器的非线性),[11] 中的研究人员使用 EMI 接收器的 Matlab 模型,通过基于三角波调制的扩频技术计算降低的 EMI,从而得出三角波扩频的优化曲线。举例来说,图 4 提供的噪声级下降曲线基于多个频率偏差值 Df,均为 EMI 接收器 RBW 设置的倍数。请注意,如果 m 超出某一特定值,EMI 抑制性能随之下降。

图 4:与不同 RBW/Df 比的 EMI 接收器响应相一致的三角波调制功率频谱噪声级下降,其中固定 Df 并改变 fm 时,调制系数会发生变化。0dB 基准是未调制的情况
选择调制扩频参数 Df 和 fm 时,需要在两方面进行权衡。首先,Df 应足够大,减小 EMI 测量值并降低易受 EMI 影响的设备所受的干扰。例如,为了避免在 AM 无线频段内产生干扰,汽车 DC/DC 稳压器通常使用外部电阻将自由运行的开关频率设置为 2.1 MHz(容差为 5%-10%)。为了在 1.6 MHz 的最大 AM 频段中以足够的裕度运行,合理的方法是在 100kHz 至 150kHz 的范围内使用 Df 进行中心扩频调制,可避免对稳压器输出电压纹波幅值和效率性能造成过大干扰。
确定 Df 后,优化 EMI 性能的附加自由度取决于所选调制频率。根据图 4,调制系数 m 应具备一个适宜的中间值,大到可提供 EMI 衰减,同时小到 RBW 带通滤波器的时域效应不适用。具体而言,如果 fm 过低,瞬时干扰信号频率处于 RBW 滤波器响应时间内的时间间隔会增大。信号长时间以未调制状态出现在测量窗口中,可以有效测量未调制信号的幅值。这种短期时域效应同样应用于易受 EMI 干扰的电路及其敏感频段。
因此,在规定频率范围内使用指定 EMI 测量设置时,为了正确估计扩频技术的影响,务必考虑时域特性。例如,针对汽车应用的国际无线电干扰特别委员会 (CISPR) 25 等规定要求,在 150kHz 至 30MHz 以及 30MHz 至 1GHz 的频段进行测量时,RBW 设置应分别为 9kHz 和 120kHz。按照经验法则,如果将 fm 设置为与要求的 RBW 相近,则 EMI 接收器能够独立测量各个边带谐波,使测量结果与预期计算值相符。
实践案例研究
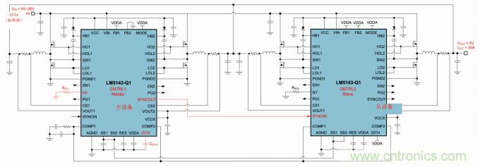
图 5 为使用两个双相可堆叠控制器的四相同步降压稳压器电路 [17] 示意图。控制器采用多种功能降低 EMI,包括恒定开关频率操作、外部时钟同步以及通过分离各电源开关的栅极驱动输出实现开关节点整形(转换率控制)。
控制器工作时使用的电阻可调节开关频率高达 2.2MHz,进行外部同步后可达 2.5MHz。SSFM 可通过以下三种方法进行配置:
●     使用控制器的外部同步 (SYNCIN) 输入,施加采用所需调制技术的频率信号。
●     通过电阻将调制信号与 RT 引脚耦合。
●     使用 DITH 引脚上的电容设置调制频率,然后使用内置的 ±5% 三角波扩频(抖动)函数。

图 5:采用三角波扩频调制的四相同步降压稳压器示意图
给定的标称开关频率为 2.1MHz,使用集成扩频功能时的频率偏差 Δf 为 5% 或 105 kHz。EMI 接收器使用频率为 9kHz 的 RBW 滤波器,在 150kHz 至 30MHz 的范围内进行测量。频谱分析仪中的 EMI 滤波器带宽通常设定为 -6dB、具有四极并且波形接近高斯形状 [16],因此应用校正因数后,9kHz RBW 滤波器的 -3dB 有效带宽认定为约 6kHz。基于与图 4 相似的优化曲线,使用公式 5 计算归一化分辨率,可得出优化的调制系数约为 10:

此后,通过公式 6 推导出所需的调制频率:

图 6 显示的是启用和禁用扩频后的开关节点电压波形(使用图 5 中的稳压器测量)。图 6b 中的波形范围恒定不变,展示开关频率的变化情况。

图 6:禁用 (a) 和启用 (b) 扩频后的开关节点电压波形 (VIN = 13.5 V,VOUT = 5 V,IOUT = 20 A)
图 7 所示为在 10 kHz 处设置三角波调制后,在 150kHz 至 30MHz 的范围内测得的图 5 中稳压器的传导辐射。使用 Rohde & Schwarz 的频谱分析仪,所得检测器扫描结果的峰值和平均值分别以黄色和蓝色表示。测量结果符合 CISPR 25 5 类 的要求。红色的限值线对应 CISPR 25 5 类的峰值限值和平均限值(峰值限值通常比平均限值高出 20dB)。

图 8:禁用 (a) 和启用 (b) 扩频后,CISPR 25 5 类的传导辐射结果(150kHz 至 30MHz)
总结
对于较为拥挤的电磁波谱,开关电源是导致电磁环境恶化的关键因素。扩频技术改变传导和辐射干扰功率谱的形状,降低峰值辐射水平,从而符合国际 EMC 规定的要求。选用经过优化的调制频率可实现一种系统级解决方案,其封装和体积更小,同时降低固有成本并提升功率密度。
免责声明:本文为转载文章,转载此文目的在于传递更多信息,版权归原作者所有。本文所用视频、图片、文字如涉及作品版权问题,请联系小编进行处理。
推荐阅读:




