【导读】IC设计工程师和电路设计人员都深知电流噪声会随频率增高而变大,但由于关于此领域的资料过少,或者制造商提供的信息不全,许多工程师很难了解其原因。
IC设计工程师和电路设计人员都深知电流噪声会随频率增高而变大,但由于关于此领域的资料过少,或者制造商提供的信息不全,许多工程师很难了解其原因。
许多半导体制造商的数据手册,包括ADI在内,都在规格表中给出了放大器的电流噪声,一般是1 kHz频率时的噪声。但并非始终能够指明电流噪声参数从何而来。是通过测量得来?或者是理论推断而来?有些制造商很明白地指出,他们是通过一个公式
即散粒噪声公式得出这些数值的。一直以来,ADI都是采用这种方式提供大部分电流噪声数值。但这些计算出的数值是否等于各放大器在1 kHz时的噪声值?
过去许多年,人们对于放大器中电流噪声与频率的关系越来越感兴趣。有些客户和制造商假设FET输入放大器的电流噪声与双极性输入放大器的噪声类似,例如,如图1所示中的1/f或闪烁噪声和平坦宽带噪声成分。对于FET输入放大器,情况并非如此;如图2所示,其噪声呈现奇怪的噪声形状,人们对此不熟悉,且在许多仿真模型中,这些噪声都被忽略。
图1.双极性输入放大器AD8099的电流噪声。
图2.FET输入放大器AD8065的电流噪声。
在我们弄明白为何会如此之前,我们先快速查看一下测量设置。需要确定易于复制、可靠的测量方法,以便在不同器件中重复使用这种测量。
可能需要使用DC417B 单放大器评估板。待测器件(DUT)采用的电源必须具备低噪声、低漂移特性。相比开关电源,选择线性电源更合适,如此,电源引入的特性变化(例如开关伪像)不会不会影响测量结果。LT3045 和LT3094是具备超高PSRR和超低噪声的正负极输出的线性稳压器,可用于进一步降低来自线性电源的纹波。通过单一电阻配置就可以使LT3045和LT3094实现高可到+15V,低可至-15V的输出电压。这两种器件是理想的实验室电源,适用于低噪声测量。
图3.测量设置。
来自Ohmite (HVC1206Z1008KET)的10 GΩ SMT电阻被用于将DUT同相引脚上的电流噪声转化为电压噪声。FET输入型放大器的典型偏置电流约为1 pA,相当于会产生0.57 fA/√Hz典型噪声。
如果公式
正确的话。10 GΩ源极阻抗热噪声为
这为我们提供了测量电流的本底噪声
这个值可以在后期处理中减去。但是,如果电阻中由热噪声产生的电流噪声在DUT的电流噪声中占主导,则无法准确测量。所以,至少需要电阻值达到10 GΩ,才能测量出噪声。100 MΩ源极阻抗热噪声约为1.28 μV/√Hz (= 12.8 fA/√Hz),但这不足以区分DUT和电阻噪声。此噪声,如果不关联,会以和方根(RSS)形式相加。图4和表1显示了对两个数值比的RSS影响。n:n增加了约41%,n:n/2增加了约12%,n:n/3增加了约5.5%,n:n/5增加了约2%。平均值足够时,我们可能能够从中抽取10%(0.57 fA/√Hz和1.28 fA/√Hz RSS)。
图4.基于两个数值比的RSS增加。
表1.基于两个数值比的RSS增加
图5显示了使用 AD8065设置的噪声电压密度,AD8065是一款145 MHz FET输入运算放大器,具备2.1 pF共模输入容抗。10 GΩ电阻热噪声为12.8 μV/√Hz,直至电路板的输入电容和插座杂散电容滚降电压噪声。理想情况下,应该在–20 dB/dec滚降,但曲线在约100 Hz时开始改变形状,在约100 kHz走向平坦。这是怎么回事呢?直觉告诉我们,唯一能够停止–20 dB/dec滚降和实现平坦的方法是提供一个+20 dB/dec斜坡。电流噪声正是提供这个斜坡关键,它随频率增加而增高,具有+20 dB/dec斜率。
图5.输出参考电压噪声密度。
SR785动态信号分析仪或FET仪器可用于测量输出电压噪声;但是,低于7 nV/√Hz的本底噪声的仪器会更合适。当DUT滚降的输出电压噪声接近20 nV/√Hz至30 nV/√Hz时,我们希望分析仪本底噪声增加到被测的噪声量尽可能少。3倍比率仅增加约5.5%。噪声域中最多可接受5%误差(参见图4)。
以这种方式测量的话,绘制电流噪声所需的两个主要参数可通过一次测量获得。首先,我们获取总输入电容,即杂散电容和输入电容的总和,反向计算滚降需要用到这个值。即使存在杂散电容,也可以通过反向计算得到它的值。输入电容比10 GΩ电阻更具主导性。总阻抗将电流噪声转换成电压噪声。因此,掌握总输入电容非常重要。其次,它显示电流噪声从何处开始占主导作用,即,从何处开始偏离–20 dB/dec斜坡。
我们来看看图5中采用此数据的示例。3 dB滚降点对应2.1 Hz,与输入中的
电容对应。从数据手册可以看出,共模输入电容只有约2.1 pF,这意味着存在约5.5 pF杂散电容。差分模式输入电容被负反馈自举,所以不会在低频率下发挥作用。采用7.6 pF电容时,电流噪声的阻抗如图6所示。
图6.并联的10 GΩ电阻和7.6 pF输入电容的总阻抗幅度。
采用在AD8065(图5)上测量的折合到输出端(RTO)的电压噪声,除以阻抗vs频率(图6),可得出在RSS中合并的AD8065和10 GΩ电阻的等量电流噪声(图7)。
图7.AD8065和10 GΩ电阻的RTI电流噪声。
移除10 GΩ电流热噪声(约翰逊噪声除以电阻值)之后,AD8065折合到输入端的噪声如图8所示。低于10 Hz时,噪声严重失真,这是因为我们尝试从1.28 fA/√Hz中剥离出0.5 fA/√Hz至0.6 fA/√Hz(在RSS比例中,为10%)的电流噪声,其中只有100个平均值。在15 mHz至1.56 Hz之间,存在400条具有4 mHz带宽的线。即256秒/平均值!100个平均值,每个256秒,总共25,600秒,稍稍超过7个小时。为何需要测量值低至15 mHz,为何需要花费那么多时间?10 pF输入电容和10 GΩ电阻会构建一个1.6 Hz低通滤波器。低噪声FET放大器具备大输入电容,最高可达20 pF,0.8 Hz位置对应3 dB点。为了正确测量3 dB点,我们需要往前增加十倍频率裕量的测量值,即,一直降低到0.08 Hz(或80 mHz)。
如果我们观察低于10 Hz的模糊线条,可以通过以下方程
确认0.6 fA/√Hz。使用这个公式计算电流噪声并不全错。在一阶近似值中,仍然显示部件的低频率电流噪声行为,因为这个电流噪声密度值是通过直流输入偏置电流获取的。但是,在高频率下,电流噪声不符合此公式。
图8.AD8605的RTI电流噪声。
在更高频率下,DUT电流噪声比电阻电流热噪声更具主导性,电阻热噪声可以忽略。图9显示了在10GΩ条件下折算到FET型运放输入端的噪声值,使用图3所示的设置测量得出。似乎大部分精密放大器的典型的噪声性能为:100 kHz时100 fA/√Hz。
图9.所选的ADI放大器的RTI电流噪声。
当然也存在一些例外:LTC6268/LTC6269在100kHz的电流噪声为5.6fA/√Hz。这些部件非常适合高速TIA应用,这些应用都需要高带宽、低输入电容和飞安级偏置电流。
图10.LTC6268的折合输入端电流噪声。
T高源阻抗应用中的总输入电流噪声主要来自4个电流噪声源,到目前为止,我们已经介绍了2个。带有主要噪声源的简化TIA放大器等效电路如下方的图11所示。MT-050是一个很好的介绍运算放大器噪声源的参考文档。
图11.带有主要噪声源的简化TIA放大器。
来自FET输入放大器(in_dut)的电流噪声
电流噪声的图谱由放大器输入级拓扑决定。一般来说,电流噪声在低频率下保持平坦,但会随着频率升高而变大。参见图8。最后,当放大器在更高频率下耗尽增益时,噪声以–20 dB/dec滚降。
来自电阻 (in_R)的电流热噪声
这可以使用电阻 en_R 的热噪声除以电阻值R的阻抗得出。1 MΩ产生约128 fA/√Hz,10 GΩ产生1.28 fA/√Hz。
电阻的热电压噪声在频率范围内非常平坦,直到电容以–20 dB/dec滚降。图5显示在10 mHz至1 Hz范围之间这种行为的表现。
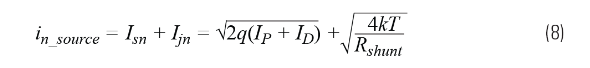
来自传感器 (in_source)的电流噪声
传感器也会产生电流噪声,我们必须接受这个现实。在频率范围内,噪声可能表现为各种图谱。例如:光电二极管存在来自光电流 IP的散粒噪声Isn, 以及来自分流电阻的暗电流ID和约翰逊噪声 Ijn。
来自放大器电压噪声本身的电流噪声
来自放大器电压噪声的电流噪声被称 enC 噪声,在Horowitz和Hill撰写的《The Art of Electronics》(中文译本为《电子学》)中有过详细描述。与由电阻转换为电流噪声的电阻热噪声类似,放大器电压噪声 en_dut由总输入电容转换成电流噪声,其中包括传感器电容、板杂散电容和放大器输入电容。
在第一阶,我们使用
从这个公式,我们可以看出三点。第一,电流噪声随频率增加而升高,另一个电流噪声成分随频率升高而增大。第二,放大器的输入电压噪声越大,电流噪声也越大。第三,总输入电容越大,电流噪声也越大。由此得出电流噪声的品质因数enC,其中放大器的电压噪声和总输入电容是决定这个指标的关键要素。
TIA应用的电流噪声图形(忽略DUT电流噪声)如图12所示。平坦部分主要是电阻噪声
电容导致的电流噪声为
以20 dB/dec的斜率增加。从两个等式可以得出交越点的计算公式
图12. 频率范围内的enC 噪声。
根据 Cin, enC 可能高于或低于DUT电流噪声。对于反相放大器,例如TIA应用, Cdm没有被自举;即:
例如,在100 kHz时,LTC6244的Ccm = 2.1 pF, Cdm = 3.5 pF, en = 8 nV/√Hz ,对应的enC 电流噪声为
这是远低于80 fA/√Hz DUT电流噪声
但是,连接光电二极管时,公式中会额外增加一个Csource 或 Cpd,然后需要重新计算电流噪声。即便Cpd 仅仅有16pF的电容值,也会产生与DUT相等电流噪声。低速大面积光电二极管会存在100 pF至1 nF的PD等效电容,高速小区域光电二极管的PD等效电容为1 pF至10 pF。
IC设计工程师和经验丰富的电路设计人员都深知,在CMOS和JFET输入放大器中,电流噪声会随频率增高而增高,但由于关于此领域的资料过少,或者制造商提供的信息不全,许多工程师很难了解其原因。本文的目标是帮助大家理解电流噪声从低频到高频的特性,同时介绍一种可以重复测量运放电流噪声的方法。
在高阻抗环境中,要测量得出FET输入具备10 GΩ阻抗噪声,需要注意环境和细节。
在典型的单个放大器引脚布局中,Pin3 (Vin+)邻近Pin4 (V–)。没有保护环时,板的布局非常重要。扫描电源时,会发现输出端存在明显的直流偏移。10 GΩ SMD最开始与V–(图13中的R10)并联焊接,所以焊锡膏泄漏不可接受。所以,10 GΩ SMD被移动到另一个位置(R8),由此消除泄漏。ADA4530-1 静电计级放大器,在85°C时为20 fA)的数据手册显示了所有与焊锡膏选择、污染、湿度影响有关的预防错误,以及其他与高阻抗测量有关的有趣细节。数据手册和用户指南UG-865,以及电路笔记 CN-0407都非常值得研读。
图13.测量设置。
具有高阻抗、不隔音的器件非常易受擦电效应、压电效应或微音效应影响。有一天,我的钥匙偶然落地,其设施设备显示的噪声谱在人可听到的频率范围内(1 kHz和以上)出现了一个尖峰。我本不认为在高阻抗FET运放前挂一个10GΩ电阻的噪声测量电路会对声音很敏感。但为了再次确认一下,我吹了个口哨。在1 kHz至2 kHz之间测量到了一个尖峰。即使在有大量平均值的情况下,一声尖锐口哨也会令SR785的CRT屏幕上出现噪声尖峰。CN-0407中提到的气密玻璃电阻是消除压电/摩擦电效应的更好选择。
为了确认,我使用笔记本电脑的麦克风测量实验室环境噪声,使用MATLAB®处理数据,最后发现噪声与测量结果非常对应。结果显示,在768 Hz时出现噪声尖峰,其他频率如图14所示。罪魁祸首是距离工作台几米远的大型空调管。为了确定噪声不是来源于我的笔记本电脑,我选择进入公用电话间这个最安静的地方采集噪声数据。结果未捕获之前在768 Hz位置上的噪声尖峰。其他频率的噪声尖峰也至少低了100倍。
图14.实验室噪声。
图15.电话亭噪音。
图16.折合输出端噪声电压密度,无隔音屏障。
图17.折合输出端噪声电压密度,有隔音屏障。
要衰减可听噪声,可以使用Temptronix盒。此盒已经热隔离,内部不存在大量气流。我只需要它能够隔离足够的声音,以免麦克风的声音效果进入测量结果。它确实起到了这样的作用。参见图16和图17。
FET输入放大器具有pA级的输入偏置电流。10 pA通过10 GΩ电阻产生的失调电压体现在放大器的输出端也只有大约100 mV。SR785具有交流耦合特性,可以去除此直流偏置,并在–50 dB V峰值(3.2 mV峰值)的最佳量程范围内测量输出噪声。但是,交流耦合特性会影响到不足1 Hz的频率,导致难以确定平坦的12.8 μV/√Hz频率范围和读取到3 dB的滚降转折点。必须使用直流耦合,但是直流耦合不能使用仪器仪表中最佳的灵敏度范围。1 mHz无源滤波器由两个串连270 μF有极性电容(135 μF电容)和一个1 MΩ电阻构成,被置于DUT和SR785的输出之间。由于电容的长导线会产生更大的电流环路面积,这会导致SR785 CRT 屏幕在20kHz频率下的谐波产生的磁场干扰到此电流环路,从而产生辐射干扰噪声。。由于磁场从本质上呈三维特性,所以改变无源滤波器盒的角度以及旋转它可以解决此问题。注意查看图18中呈角度的蓝色盒子。简直属于E& M黑魔法!
图18.旋转的过滤器盒对磁场的灵敏度较低。
免责声明:本文为转载文章,转载此文目的在于传递更多信息,版权归原作者所有。本文所用视频、图片、文字如涉及作品版权问题,请联系小编进行处理。
推荐阅读:





