【导读】事实上,采用最新的集成运转控制平台,设计者甚至能够为自己的设计选择较小和较低成本的电机,而不会牺牲最终的性能。
洗衣机和冰箱等家电制造商都面临着提高产品性能与功能的压力,同时还要降低整体能耗。设计者要满足这些似乎相互矛盾的目标,同时不会招致明显的成本损失,关键是使用针对控制家电中中等规模电机的新技术。事实上,采用最新的集成运转控制平台,设计者甚至能够为自己的设计选择较小和较低成本的电机,而不会牺牲最终的性能。

图1PM交流电机面向现场无传感器控制
家电电机控制
交流感应电机是多数家电应用中电机的首选目标。这主要是由于它们可以直接用交流电运行,而无需增加控制电路或姿态反馈传感器。例如,冰箱中的传统家电控制器是一个简单电路,它定期执行压缩机的开机和停机,以保持目标区域的温度。
当系统开始运行时,压缩机就连续运转。一旦温度到达了目标区,压缩机便以低占空比运转。当系统以低的开/关占空比运转时,压缩机在大部分时间里都偏离最高效的工作点。改变压缩机的转速来匹配制冷负荷,可以减少 40% 的能耗,因为制冷系统能够以更高占空比运行。
采用三相PM(永磁)电机,并将电机控制在变速运行状态,就能进一步改进家电的效率。这类电机效率通常可高达 90%,与之相比,传统的单相感应电机的效率为 70%。同时,这类电机还可以简化速度控制和转矩控制。
另外,由于有更高的效率,就可以采用较小的电机,因此降低了单位成本,更容易做机械设计。显然,从这些电机获取最大利益的关键就有赖于驱动方法的选择。要准确而高效地驱动冰箱或洗衣机等家电中的变速电机,重要的是能够获得转子姿态的信息。最显而易见的方式是采用附加的检测元件。但是,这会同时影响可靠性和成本,实际上是不现实的方法。因此,设计者正在寻找无传感器技术。
无传感器的变速电机控制
由于电机控制技术的进步,现在无需姿态传感器也能实现高效率的三相PM电机交流传动。图1是这类系统的一个实例。图中,右侧是三相电源逆变器,它控制着从直流电源进入PM电机绕组的电流,同时空间矢量PWM单元是功率晶体管计算时序信号,然后由功率晶体管为电机提供三相正弦波电压。低电压控制信号与连接到高电压直流总线功率开关之间的接口是一个 HVIC(高压栅极驱动 IC)。
这些 IC 比分立的栅极驱动电路或普通光电耦合、脉冲变压器方案更强健和精致。最新的 HVIC 技术采用先进的混合信号半导体工艺,结合了低电压输入能力与高电压驱动输出和大量板载功能。

图2MCE与同时集成的8051微控制器芯片上带有A/D
如图 1 所示,控制电路的关键是需要实现一个磁场定向控制(FOC)算法。这种算法通常用于工业传动系统中,它计算提供所需速度和转矩的电机电压与电流,有最高的电机效率。
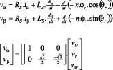
FOC 采用向量变换,将交流电机绕组的电流分解成两个用于驱动电机磁链和转矩的“准直流”(quasi DC)电流分量。这种变换包括作为转子磁链角函数的一个向量旋转(e-jq),以取得与转子磁链相配合的一个电流分量(ID);还有一个产生电机转矩的正交分量(IQ)。
电流反馈控制回路计算出两个“准直流”的电压分量VD和VQ,用于保持目标转矩和磁链。第二个向量旋转为脉冲宽度调制器计算出交流电压基准。FOC算法的优势在于,电机转矩是IQ基准的一个线性函数,它产生一个简单的线性速度控制规则。在PM电机情况下,控制器将磁链电流分量(ID)保持为零,从而实现运动系统效率的最大化。
采用这种算法的一个主要优点是,控制器能够通过测量逆变器直流链接(只用一个直流链接分流器为电机提供电流)中的电流,计算出转子的位置。
估计转子位置
使用转子角评估器电路,通过下面的电机绕组电路方程,支持无传感器的转子姿态反馈。三相至两相的变换简化了计算,并得到两个关系,分别是转子磁链角的正弦函数和余弦函数。

解出这些方程即得到电机电流与电压的正弦函数和余弦函数。反正切计算可以确定转子角,但基于以下误差函数的锁相环方法更为强大,它能产生一个副产品,即过滤的速度测量法。
控制器通过对直流链并联电阻上的采样电流以及功率逆变器开关的时序作同步,重建电机的相电流。如前所述,上述方法的一个显著优点是电机反馈信号取自单个直流并联电阻,因此无需使用姿态传感器或隔离式电流传感器。于是就获得了对家电PM交流电机具有成本效益的控制方法,大大提高了效率和性能。
实现无传感器控制
虽然上述方法为电机控制提供了一种可靠、准确的方法,但它们也给设计工程师带来了一个重大挑战,尤其是在建立软件编码时。基于这个原因,国际整流器公司开发了iMOTION平台概念,它包含针对各种应用领域的集成电机控制系统,如家电。
iMOTION平台概念的核心是专用的运转控制IC。这些 IC在单只芯片内包含了两个计算引擎,如图 2 所示。第一个是运转控制引擎(MCE),它包含了PM电机无传感器控制所需的全部代码;第二个是一只8位高速微控制器。MCE包括一系列硬件实现的控制元件,设计者可以作适当配置,建立针对特定应用的运转控制算法。配置工作通过一个简单易用的图形化编译器完成。
MCE中提供了FOC算法的关键部分,作为完整的预定控制块。IC还包括一个ADC以及相应的算法,完全支持单一并联电流重建。有了MCE处理运转控制,8051微控制器就能自由地运行家电应用软件,包括排序、用户界面、主机通信以及较高层的控制任务。MCE和8051MCU共同访问双口RAM,允许共享目标速度等设置点,并可在软件控制下作调整。
相关阅读:
马达控制中关键安全应用的解决方案
工业自动化方案:传感器技术及马达控制的实现
实例告诉你——如何使用 PolySwitch 器件保护马达





