【导读】印制电路板(PCB)布线在高速电路中具有关键的作用,但它往往是电路设计过程的最后几个步骤之一。高速PCB布线有很多方面的问题,关于这个题目已有人撰写了大量的文献。本文主要从实践的角度来探讨高速电路的布线问题。
印制电路板(PCB)布线在高速电路中具有关键的作用,但它往往是电路设计过程的最后几个步骤之一。高速PCB布线有很多方面的问题,关于这个题目已有人撰写了大量的文献。本文主要从实践的角度来探讨高速电路的布线问题。
谁都别信
如果不是你自己设计布线,一定要留出充裕的时间仔细检查布线人的设计。在这点上很小的预防抵得上一百倍的补救。不要指望布线的人能理解你的想法。在布线设计过程的初期你的意见和指导是最重要的。
你能提供的信息越多,并且整个布线过程中你介入的越多,结果得到的PCB就会越好。给布线设计工程师设置一个暂定的完成点——按照你想要的布线进展报告快速检查。这种“闭合环路”方法可以防止布线误入歧途,从而将返工的可能性降至最低。
需要给布线工程师的指示包括:
电路功能的简短描述?
标明输入和输出位置的PCB略图?
PCB层叠信息?
各层需要那些信号?
要求重要元件的放置位置?
旁路元件的确切位置?
哪些印制线很重要?
哪些线路需要控制阻抗印制线?
哪些线路需要匹配长度;元件的尺寸?
哪些印制线需要彼此远离(或靠近)?
哪些线路需要彼此远离(或靠近)?
哪些元器件需要彼此远离(或靠近)?
哪些元器件要放在PCB的上面,哪些放在下面?
永远不要抱怨需要给别人的信息太多。太少吗?是。太多吗?不。
位置
正像在PCB中,位置决定一切。将一个电路放在PCB上的什么位置,将其具体的电路元件安装在什么位置,以及其相邻的其它电路是什么,这一切都非常重要。
通常,输入、输出和电源的位置是预先确定好的,但是它们之间的电路就需要“发挥各自的创造性”了。这就是为什么注意布线细节将产生巨大回报的原因。从关键元件的位置入手,根据具体电路和整个PCB来考虑。从一开始就规定关键元件的位置以及信号的路径有助于确保设计达到预期的工作目标。一次就得到正确的设计可以降低成本和压力——也就缩短了开发周期。
寄生效应
所谓寄生效应就是那些溜进你的PCB并在电路中大施破坏、头痛令人、原因不明的小故障(按照字面意思)。它们就是渗入高速电路中隐藏的寄生电容和寄生电感。
其中包括由封装引脚和印制线过长形成的寄生电感;焊盘到地、焊盘到电源平面和焊盘到印制线之间形成的寄生电容;通孔之间的相互影响,以及许多其它可能的寄生效应。图1(a)示出了一个典型的同相运算放大器原理图。但是,如果考虑寄生效应的话,同样的电路可能会变成图1(b)那样。

图1.典型的运算放大器电路,
(a)原设计图,(b)考虑寄生效应后的图
在高速电路中,很小的值就会影响电路的性能。有时候几十个皮法(pF)的电容就足够了。如果寄生电容足够大的话,它会引起电路的不稳定和振荡。
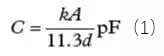
当寻找有问题的寄生源时,可能用得着几个计算上述那些寄生电容尺寸的基本公式。公式(1)是计算平行极板电容器的公式。

公式(1)中:C表示电容值,A表示以cm2为单位的极板面积,k表示PCB材料的相对介电常数,d表示以cm为单位的极板间距离。
带状电感是另外一种需要考虑的寄生效应,它是由于印制线过长或缺乏接地平面引起的。公式(2)是计算印制线电感(Inductance)的公式。

公式(2)中:W表示印制线宽度,L表示印制线长度,H表示印制线的厚度。全部尺寸都以mm为单位。
图2中的振荡示出了高速运算放大器同相输入端长度为2.54cm的印制线的影响。其等效寄生电感为29nH(10-9H),足以造成持续的低压振荡,会持续到整个瞬态响应周期。图7还示出了如何利用接地平面来减小寄生电感的影响。

图2.有接地平面和没有接地平面的脉冲响应
通孔是另外一种寄生源,它们能引起寄生电感和寄生电容。公式(3)是计算寄生电感的公式。

公式(3)中:T表示PCB的厚度,d表示以cm为单位的通孔直径。
公式(4)是如何计算通孔引起的寄生电容值的公式。

公式(4)中:εr表示PCB材料的相对磁导率,T表示PCB的厚度,D1表示环绕通孔的焊盘直径,D2表示接地平面中隔离孔的直径,所有尺寸均以cm为单位。
在一块0.157cm厚的PCB上一个通孔就可以增加1.2nH的寄生电感和0.5pF的寄生电容。这就是为什么在给PCB布线时一定要时刻保持戒备的原因,要将寄生效应的影响降至最小。
PCB设计如何影响电源EMC性能?
5G时代,与CEF共迎PCB发展良机





