【导读】功率二极管晶闸管广泛应用于AC/DC变换器,UPS,交流静态开关,SVC和电解氢等场合,但大多数工程师对这类双极性器件的了解不及对IGBT的了解,为此我们组织了6篇连载,包括正向特性,动态特性,控制特性,保护以及损耗与热特性。内容摘来自英飞凌《双极性半导体技术信息》。
功率二极管晶闸管广泛应用于AC/DC变换器,UPS,交流静态开关,SVC和电解氢等场合,但大多数工程师对这类双极性器件的了解不及对IGBT的了解,为此我们组织了6篇连载,包括正向特性,动态特性,控制特性,保护以及损耗与热特性。内容摘来自英飞凌《双极性半导体技术信息》。
3.5 功率耗散(损耗)
对晶闸管和二极管而言,耗散(或损耗)分为断态、通态、开通和关断损耗这几类。晶闸管还有控制损耗。在规定冷却条件下,这些损耗的总和决定了器件的载流能力。
在高达60Hz的电网频率下工作且具有适度的动态要求时,可以仅考虑通态损耗,因为其它损耗的总和相对可以忽略不计。
对于具有高阻断电压(>2200V)或者管芯Ф≥80mm的半导体,即使是在电网频率下工作,在计算时也应考虑关断损耗。
3.5.1 总功率耗散Ptot
Ptot是各项损耗总和的平均值。
3.5.2 断态损耗PD、PR
PD、PR是断态电流和断态电压在正向(PD)断态和反向 (PR)断态造成的损耗。
3.5.3 通态损耗PT、PF
PT、PF是在仅考虑正向导通状态的情况下,转化为热的电能。根据以下公式,用等效直线的值计算通态损耗 PTAV或PFAV的平均值:
PTAV=VT(TO)•ITAV+rT•I²TRMS=VT(TO)•ITAV+rT• I²TAV•F²(晶闸管)
PFAV=VF(TO)•IFAV+rT•I²FRMS=VF(TO)•IFAV+rT• I²FAV•F²(二极管)
有关波形系数F,见表1
数据手册中的图显示了各种形状电流的通态耗散功率平均值与通态电流之间的关系。
可通过以下关系式,通过更精确的近似计算通态电压,而非用vT0、vF0和rT计算通态损耗。
![]()
数据手册中列出了系数A、B、C和D。
例外:PowerBLOCK模块型未列出ABCD系数。
PowerBLOCK模块型未列出ABCD系数

表1.相位角控制对应的波形系数
3.5.4 开关损耗PTT,PFT+PRQ
PTT、PFT+PRQ是在开通(PTT对应晶闸管,PFT对应二极管)和关断(PRQ)时转化为热的部分电能。平均开关损耗随通态电流在开通和关断时的上升率和下降率、以及重复频率的增加而增加。对于阻断电压≤2200V的中等尺寸晶闸管和二极管以及高达60Hz电网频率的应用,开关损耗与通态损耗相比几乎可以忽略不计。
对于阻断电压>2200V的半导体或管芯Ф≥80mm的半导体,即使是在电网频率下工作,在计算时也应考虑关断损耗(必要时可应要求提供)。
但是二极管的关断损耗通常仍可忽略不计。
3.5.4.1 开通损耗PTT,PFT
PTT、PFT是开通期间超过通态损耗PT(晶闸管)或 PF(二极管)的耗散功率。它是由载流子存储效应和载流区域的延迟传输造成的。为了能够以最快开通整个晶闸管芯片,许多晶闸管均具有触发放大功能。此功能包含一个或几个放大门极(=辅助晶闸管)。对于具有大截面的晶闸管,放大门极为分支结构(手指结构)。此结构可使更大面接的截面在触发时导通,从而减少开通损耗。开通和通态损耗之和 PTT, PFT+PT, PF对于功耗计算非常重要,可通过在开通期间和开通后,用通态电流和通态电压积分得出。

实际上,开通损耗通常忽略不计。
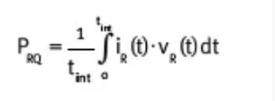
3.5.4.2 关断损耗PRQ
关断损耗是由载流子存储效应造成的。它取决于反向延迟电流,反向断态电压幅值和上升率,因此可能受缓冲电路影响(见图23)。

时间tint用于对关断损耗进行积分计算。
关断损耗的近似计算方法如下:

Erq=关断损耗能量
f=频率
Qr=最大恢复电荷
VR=(反向电压)换向后的激励电压
3.5.5 门极功耗PG
PG是由于门极电流在门极和阴极之间流动而转化为热量的电能。它分为门极峰值功耗PGM(门极电流和门极电压峰值的乘积)和门极平均功耗PGAV(门极功耗的周期平均值)
(来源: 英飞凌工业半导体)
免责声明:本文为转载文章,转载此文目的在于传递更多信息,版权归原作者所有。本文所用视频、图片、文字如涉及作品版权问题,请电话或者邮箱editor@52solution.com联系小编进行侵删。
推荐阅读:
VIAVI为XL Axiata提供面向5G的远程光纤测试和监控解决方案






