【导读】每当 CMOS VLSI 设计中的逻辑电路切换状态时,都会消耗一些电能,因为晶体管电容会充电到定义的逻辑电平。虽然我们希望功耗尽可能小,但微小的功耗也会导致许多逻辑电路在运行时产生巨大的动态功耗。在设计器件时,必须估算芯片在运行过程中以热量形式耗散的电能。这样做的目的是确定以下事项:必要的冷却措施、对散热器的潜在需求、是否应包括裸露的接地焊盘,或者是否需要通过特殊封装来确保可靠性。
本文重点
通常情况下,我们可以通过人工或使用仿真工具来计算逻辑电路中单个门的功耗。
但是,当多个逻辑电路在运行过程中进行翻转时,直接计算功耗就比较困难。
如果能够可靠地估算功耗,就可以在热仿真中使用此估算值来评估可靠性并确定合适的封装。
每当 CMOS VLSI 设计中的逻辑电路切换状态时,都会消耗一些电能,因为晶体管电容会充电到定义的逻辑电平。虽然我们希望功耗尽可能小,但微小的功耗也会导致许多逻辑电路在运行时产生巨大的动态功耗。在设计器件时,必须估算芯片在运行过程中以热量形式耗散的电能。这样做的目的是确定以下事项:必要的冷却措施、对散热器的潜在需求、是否应包括裸露的接地焊盘,或者是否需要通过特殊封装来确保可靠性。
集成电路的估算技术涉及在逻辑仿真或电气仿真中检查核心逻辑。结合使用这两种方法,通过估计给定时间间隔内影响总散热量的逻辑元件总数,粗略估计 CMOS VLSI 产品的功耗。
估算设备的切换活动和功耗
现代集成电路结构复杂,估算 VLSI 设计中的功耗并非易事。这些产品包含多个逻辑块,其中一些逻辑块独立运行,在任意给定时间内可能仅有部分逻辑块在工作。虽然两个不同的比特流可能承载相同的输入功率,但这并不一定意味着在所有情况下都会产生相同的翻转。逻辑输入接收到的不同比特流将激发设计中的各种信号变化,从而产生不同的功耗。
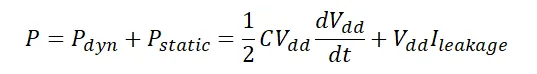
既然功耗在很大程度上取决于集成电路的输入数据和结构,那么必须使用一些基于逻辑仿真器的概率方法来确定信号切换活动。逻辑元件在切换期间也会产生功耗。逻辑元件功耗的计算公式如下:
基于漏极电压 (Vdd) 和切换速度的逻辑元件总功耗
这里的 C 代表切换逻辑电路中充电/放电的总电容。电压项指的是 PDN 提供的漏极电压(标称值)。漏电电流通常被忽略,尽管它在热仿真中至关重要(见下文)。需要注意的是,这是无功功率:以热量形式耗散的电能取决于结中的导通电阻,可以使用构成逻辑元件的晶体管的精确 SPICE 模型来进行仿真。
虽然速度不是最快的,但可以比较全面的确定平均信号变化的方法是使用蒙特卡洛仿真并对结果进行统计分析。在掌握平均翻转(例如,每个时钟周期消耗电能的逻辑元件的平均数量)后,可以将这个值乘以每个逻辑元件的预期功耗,从而获得总功耗。由于逻辑元件具有内部电阻,其中一小部分将以热量的形式耗散。
在拥有数十亿个晶体管的现代微处理器中,这会产生大量热量,因此设计人员需要进行仿真评估。
如何利用功耗估算值
在获得动态切换的功耗估算值后,就可以使用该值进行电路仿真或器件热仿真,检查封装和电路板特性如何影响从器件到周围的电路板、空气和任何散热器的热传递。这些封装级仿真有助于初步的可靠性评估,并可能促使设计人员在做原型设计之前进行一些更改。
考虑到这种情况一般发生在 VLSI 设计阶段,因此通常无法准确体现设计封装。但是,这依然为设计团队提供了一个机会,他们可以评估不同类型的封装,预测在各种条件下可能出现的平衡的温度。这类可靠性仿真通常使用场求解器来完成,有时是涉及空气流动的多物理场问题,有时是利用热方程计算的简单温度仿真。
根据预期的信号变化评估功耗后,便可进行封装仿真。设计人员可以创建最坏情况场景,估算散热和温升,进而评估产品的可靠性。
对于芯片设计师来说,因为需要提前评估封装,所以必须在原型设计之前进行这些仿真。就像封装底部的热焊盘一样,一些简单的封装元件可能会对工作温度产生很大的影响。通过使用更有效的系统分析软件,设计团队可以在简化的工作流程中执行这些关键任务,将它们作为芯片设计和可靠性评估的一部分。
在 VLSI 设计中,一个重要的考虑因素是设备在高温下运行时的漏电电流。如果设计不当,核心逻辑中的高速翻转可能会导致设备温度升高,直到漏电电流占据设备中以热量形式耗散的大部分电能。这种升温可能会导致热失控,最终使芯片烧毁并失效。考虑到这个因素会影响设备中相应的绝对最高温度,在仿真中需要检查它所带来的可靠性问题。
借助 Cadence 的全套系统分析工具,使用信号切换来估量设备的功耗变得更加简单。VLSI 设计师可以评估其产品的可靠性,并根据需要实施独特的封装选项,以应对设计中的功耗和温升问题。Cadence Celsius EC Solver 技术旨在帮助电子系统设计师快速准确地解决当今最具挑战性的热/电子产品散热管理问题。Celsius EC Solver 可以分析复杂电子系统的流体流动和传热。该软件使用专有的多层次非结构化(MLUS)网格划分技术来解决对流、传导和辐射问题,可以分析电子组件、外壳和电力电子中的气流、温度和传热,求解自然对流、强制对流、太阳能加热和液体冷却问题。
文章来源:Cadence楷登PCB及封装资源中心
免责声明:本文为转载文章,转载此文目的在于传递更多信息,版权归原作者所有。本文所用视频、图片、文字如涉及作品版权问题,请联系小编进行处理。
推荐阅读:






