【导读】若将矩形脉冲序列信号加在电压初值为零的RC串联电路上,电路的瞬变过程就周期性地发生了。显然,RC电路的脉冲响应就是连续的电容充放电过程。如图所示。
1.RC电路的矩形脉冲响应
若将矩形脉冲序列信号加在电压初值为零的RC串联电路上,电路的瞬变过程就周期性地发生了。显然,RC电路的脉冲响应就是连续的电容充放电过程。如图所示。

若矩形脉冲的幅度为U,脉宽为tp。电容上的电压可表示为:

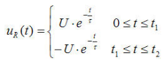
电阻上的电压可表示为:

即当 0到t1时,电容被充电;当t1到t2 时,电容器经电阻R放电。
(也可以这样解释:电容两端电压不能突变,电流可以,所以反映在图中就是电阻两端的电压发生了突变。)
2.RC微分电路
取RC串联电路中的电阻两端为输出端,并选择适当的电路参数使时间常数τ《《tp(矩形脉冲的脉宽)。由于电容器的充放电进行得很快,因此电容器C上的电压uc(t)接近等于输入电压ui(t),这时输出电压为:

上式说明,输出电压uo(t)近似地与输入电压ui(t)成微分关系,所以这种电路称微分电路。

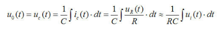
3.RC积分电路
如果将RC电路的电容两端作为输出端,电路参数满足τ》》tp(矩形脉冲的脉宽)的条件,则成为积分电路。由于这种电路电容器充放电进行得很慢,因此电阻R上的电压ur(t)近似等于输入电压ui(t),其输出电压uo(t)为:

上式表明,输出电压uo(t)与输入电压ui(t)近似地成积分关系。

积分器实质上是一个低通滤波器,积分时间越长,则其截止频率越低。
4.时间常数
RC电路中,时间常数=R*C ;
RL电路中,时间常数=L/R。
RC电路中:
积分电路,电路输出为电容两端,时间常数大;
微分电路,电路输出为电阻两端,时间常数小。
推荐阅读:





