【导读】开环增益(Open-Loop Gain,AVO或Avol),是指不具负反馈情况下(开环状态),放大器的输出电压改变量与两个输入端之间电压改变量之比。常以dB为单位。数据手册的参数表中,通常给出直流条件下的开环增益值,另外提供开环增益随频率变化而变化的曲线。
本篇讨论放大器参数是在工程师选型时,存在感很低的开环增益(或大信号增益)。
1、开环增益与大信号电压增益定义
开环增益(Open-Loop Gain,AVO或Avol),是指不具负反馈情况下(开环状态),放大器的输出电压改变量与两个输入端之间电压改变量之比。常以dB为单位。数据手册的参数表中,通常给出直流条件下的开环增益值,另外提供开环增益随频率变化而变化的曲线。如图2.68,为ADA4077开环增益与频率的关系。这个曲线必须重视,它会在多个交流参数的评估中使用。

图2.68 ADA4077开环增益与频率关系图
与开环增益近似的参数是大信号电压增益(Large Signal Voltage Gain,AV),定义为电路开环状态下,输出电压变化量与两个输入端之间电压变化量的比值。如图2.2,ADA4077的大信号电压增益为130dB(典型值)。二者的区别在于大信号电压增益AV,默认为有输出负载。它通常作为一种测试条件,用于输出阻抗、总谐波失真加噪声等参数的测试中。

图2.2 ADA4077 输入特性参数
2、开环增益仿真
在开环增益的电路仿真中,使用通用放大器模型,与真实放大器模型存在明显区别。如图2.69为通用放大器模型,增益为-1倍,反相输入端网络b,与反馈端网络a处于断开状态。

图2.69 通用放大器模型开环增益仿真电路
AC分析结果如图2.70,从10mHz至3Hz范围的开环增益为120dB,频率超过10Hz之后,频率每增加10倍开环增益衰减20dB,频率到10MHz处开环增益为0dB。

图2.70通用放大器模型放大器开环增益AC分析结果
图2.69放大器的反相输入端缺少偏置电流回路,所以正确的仿真电路如图2.71。ADA4077反相输入端(b节点)与反馈端(a节点)之间串联大电感L1,在直流条件下a、b节点视为短路,交流状态下视为断路,满足ADA4077的直流工作点和开环增益仿真需求。

图2.71 ADA4077开环增益仿真电路
AC分析结果如图2.72,与图2.68 ADA4077在±15V供电条件下的开环增益与频率图近似相同。

图2.72 ADA4077开环增益AC分析结果
3、开环增益对线性度影响
开环增益对电路直流性能的影响,体现在它导致闭环增益的非线性。根据反馈理论闭环增益为式2-42。
(式2-42)其中,β为反馈系数。噪声增益Gn为β的倒数,因此闭环增益可以表示为式2-43。
(式2-43)当开环增益无穷大时,闭环增益就等于噪声增益(同相放大的信号增益)。然而真实放大器的开环增益存在限制,所导致闭环增益的误差近似为式2-44。
(式2-44)以一款开环增益为120dB(1000000倍)的放大器为例,噪声增益为100时,闭环增益误差为0.01%。如果开环增益保持不变,那么无须测量直接标定处理0.01%的增益误差。但是开环增益受到工作环境影响产生变化时,便会引起闭环增益的不确定度。当示例中的放大器受工作环境影响,开环增益下降到100dB时,闭环增益误差变为0.1%,即闭环增益误差的不确定度为0.99%。
改变输出电压和输出负载是引起开环增益变化的常见原因。在已定的电路中放大器的负载是固定的,因此开环增益受负载影响不大。但是开环增益对输出信号电压响应随负载电流增大而增大。开环增益和信号电压的变化又会导致闭环增益的非线性,这种非线性也无法通过系统标定解决。
每个器件的非线性变化不相同,数据手册也不会提供该参数。因此只有选择开环增益值较大的放大器,可以减小增益非线性误差发生概率。但是产生增益非线性的原因很多,其中最常见的热反馈。当温度变化是造成非线性误差的唯一原因时,降低负载将会有所帮助。
如图2.73,开环增益非线性度的测量电路,增益设置为-1。根据开环增益的定义,当开环增益很大时,对应于整个输出电压变化范围的输入失调电压只有几毫伏。因此,使用10Ω电阻与Rg(1MΩ)分压,得到节点电压VY满足式2-45。
(式2-45)其中,根据期望的Vos值选择Rg的大小。

图2.73开环增益非线性度测量电路
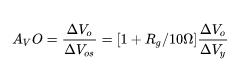
当输入幅值为±10V的锯齿波信号,通过增益为-1倍电路,输出信号Vo电压在-10~+10V。由于放大器有失调电压,通过电位计将初始输出电压调整为0V。该电路的开环增益为式2-46。
(式2-46)如果电路存在非线性,那么开环增益将随输出信号的幅值变化而变化。开环增益非线性度根据开环增益的最大值和最小值计算如式2-47。
(式2-47)闭环增益的非线性度是开环增益非线性度与噪声增益的乘积,如式2-48。
式(2-48)理想情况下,输入失调电压和输出电压的关系是斜率为常数的直线,并且开环增益等于斜率的倒数。斜率为零时,对应的开环增益无穷大。对于真实放大器,该斜率总受非线性、热反馈等因素的影响,在整个输出范围内变化,甚至改变符号。
(来源:电子星球APP,作者:郑荟民)
免责声明:本文为转载文章,转载此文目的在于传递更多信息,版权归原作者所有。本文所用视频、图片、文字如涉及作品版权问题,请电话或者邮箱联系小编进行侵删。






