【导读】热电偶是一种常见的被动测温元件。它也是一种有源传感器,测量时不需外加电源,并且测量温度范围(高达2000°C)很广。它可以快速响应,故系统运行几乎没有显著的延迟。

热电偶结构图:热电偶结构简单,主要由两根金属导线组成一个回路。
一般热电偶产生的输出电压很小(K型为约〜40μV/每°C),故需要精确的运放支持。否则,外部噪声(尤其是在热电偶和测量电路之间使用长导线时)可能会使信号失真。下表显示了一些常见的热电偶类型和特性。
另一个问题是“冷端”,它是热电偶导线与信号电路的线连接的地方,如同线路中的第二个热电偶。

为了补偿冷端的影响,可以尝试测量冷端温度,并将得出的电压加上热电偶电压(Vout),让热电偶测量端感测得出的电压(Vcj)能正式被显示
Vtc = Vout + Vcj
其中Vtc = 由热电感得到的电压
Vcj =于“冷端”得出的电压
以下是典型的热电偶补偿电路。温度传感器位于冷端进行监视,ADC以所需的分辨率提供输出数据。

(来源:Digi-Key)
更多资料:
热电偶测量原理
热电偶是常见的温度测量元件,热电偶原理比较简单,它直接把温度信号转换成热电动势信号,通过电气仪表转换成被测介质的温度,虽然原理简单,但测量并不简单。
热电偶测温原理
热电偶产生的热电势由接触电势和温差电势两部分组成。
接触电势:两种不同材料的导体,其电子密度是不同的。当两种不同材料的导体两端接合在一起时,在连接处,会发生电子扩散,电子扩散的速率与自由电子的密度以及导体的温度成正比。于是就在连接处形成电位差,即接触电势。
温差电势:当一根导体的两端温度不同时,在导体内部两端的自由电子相互扩散的速率不同,这个在高低温端之间一个静电场。此时导体上产生一个相应的电位差,称为温差电势。此电势只与导体的性质和导体两端的温度有关,与导体的长度、截面大小、沿导体长度上的温度分布无关。
热电偶的示意图

图1 热电偶的示意图
热电偶的测量电路图

图2 热电偶的测量电路图
直接用作测量介质温度的一端叫做工作端(也称为测量端),另一端叫做冷端(也称为补偿端);冷端与显示仪表或配套仪表连接,显示仪表会指出热电偶所产生的热电势。
在实际热电偶的测量中,热电偶的测量电路一般由热电偶(A、B两种导体)、连接导线C和测量仪器组成。测量时将热电偶置于被测环境中,如图2所示,形成有J1、J2、J3三个接触电势,以及两个温差电势,整个热电偶的电势由这几部分构成。
为了更好的理解这几部分的电势,我们需要了解一个定律:中间导体定律。
中间导体定律:在热电偶回路中接入中间导体(第三导体),只要中间导体两端温度相同,中间导体的引入对热电偶回路总电势没有影响。
由中间导体定义推导出:
1、组成热电偶回路的两种导体材料相同时,无论两接点温度如何,回路总热电势等于零。
2、如果热电偶两接点的温度相同,则尽管导体A,B材料不同,热电偶回路的总电势亦为零。
所以J2和J3处于同一温度点,接触电势等于零。同时,在测量时,为了消除温差电势对测量影响,我们对连接导线C会有比较严格的要求,连接导线C我们称之为补偿导线,补偿导线实际上是同分度热电偶是同材质的导线,这样回路中温差电势也为零。这样整个回路的电势只与J1的电势有关。由于热电偶技术条件都是指冷端(非工作端)处在0℃时的电动势,要求工作时,保持0℃,这样热电势才能正确反映热端温度大小,否则就会产生误差。为了修正在室温下的测量误差,热电偶一般进行温度补偿。
热电偶的温度补偿
热电偶冷端温度补偿的方法主要有:
01 冷端恒温法
这种方法将热电偶的冷端放在恒温场合,有0℃恒温器和其他恒温器两种。
02 电桥补偿法
热电偶经补偿导线接至补偿电桥,热电偶冷端与电桥处于同一环境温度中,利用不平衡电压来自动补偿热电偶因冷端温度变化而引起的热电势变化值。
03 计算修正法
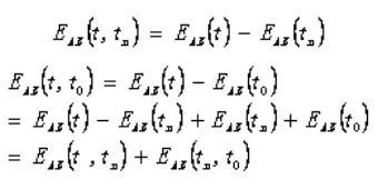
由于热电偶E-T之间通常呈非线性关系,当冷端温度不为0摄氏度时,不能利用已知回路实际热电势E(t,t0)直接查表求取热端温度值;也不能利用已知回路实际热电势E(t,t0)直接查表求取的温度值,再加上冷端温度确定热端被测温度值,需按中间温度定律进行修正。
中间温度定律:热电偶回路两接点(温度为T、T0)间的热电势,等于热电偶在温度为T、Tn时的热电势与在温度为Tn、T0时的热电势的代数和。Tn称中间温度。
热电偶的测量优点
热电偶的测量相对热电阻来说要复杂得多,但是以其独特的优点得到广泛应用。
1、测量精度高。因热电偶直接与被测对象接触,不受中间介质的影响。
2、测量范围广。常用的热电偶从-50~+1600℃均连续测量,某些特殊热电偶最低可测到-269℃(如金铁镍铬),最高可达+2800℃(如钨-铼)。
3、构造简单,使用方便。热电偶通常是由两种不同的金属丝组成,而且不受大小的限制,外有保护套管,用起来非常方便。
热电偶四大基本定律及证明
热电偶的基本定律包括均质导体定律、中间导体定律、中间温度定律以及参考电极定律,热电偶的这四大基本定律对热电偶的应用有及其重要的作用。
均质导体定律
定义:由同一种均质材料(导体或半导体)两端焊接组成闭合回路,无论导体截面如何以及温度如何分布,将不产生接触电势,温差电势相抵消,回路中总电势为零。
可见,热电偶必须由两种不同的均质导体或半导体构成。若热电极材料不均匀,由于温度梯存在,将会产生附加热电势。
证明:热电偶的电势由两个接触电势和两个温差电势构成。即:

由于材料相同,没有接触电势;而温差电势为大小相同,方向相反的两个电势,相互抵消,也为零。
应用:根据这个定律,可以检验两个热电极材料成分是否相同(称为同名极检验法),也可以检查热电极材料的均匀性。
中间导体定律
定义:在热电偶回路中接入中间导体(第三导体),只要中间导体两端温度相同,中间导体的引入对热电偶回路总电势没有影响。
证明:证明过程参考热电偶中间定律的证明
应用:依据中间导体定律,在热电偶实际测温应用中,常采用热端焊接、冷端开路的形式,冷端经连接导线与显示仪表连接构成测温系统。例如,用铜导线连接热电偶冷端到仪表读取mV值,在导线与热电偶连接处产生的接触电势是不会对测量产生附加误差。再比如可以将热电偶的两端不焊接而直接插入液态金属中或直接焊在金属表面进行温度测量。
中间温度定律
定义:热电偶回路两接点(温度为t,t0)间的热电势,等于热电偶在温度为t、tn时的热电势与在温度为tn、t0时的热电势的代数和。tn称中间温度。
证明:

应用:由于热电偶E-T之间通常呈非线性关系,当冷端温度不为0摄氏度时,不能利用已知回路实际热电势E(t,t0)直接查表求取热端温度值;也不能利用已知回路实际热电势E(t,t0)直接查表求取的温度值,再加上冷端温度确定热端被测温度值,需按中间温度定律进行修正。初学者经常不按中间温度定律来修正!
参考电极定律
定义:如果两种导体分别与第三种导体组成的热电偶所产生的热电动势已知,则由这两种导体组成的热电偶所产生的热电动势也就已知。
证明:
导体A、B分别与标准电极C组成热电偶,若它们所产生的热电动势为已知,即
那么,导体A与B组成的热电偶,其热电动势为
应用:标准电极定律是一个极为实用的定律。纯金属的种类很多,而合金类型更多。因此,要得出这些金属之间组合而成热电偶的热电动势,其工作量是极大的。由于铂的物理、化学性质稳定,熔点高,易提纯,所以,我们通常选用高纯铂丝作为标准电极,只要测得各种金属与纯铂组成的热电偶的热电动势,则各种金属之间相互组合而成的热电偶的热电动势就可以得到。
例如:热端为100℃,冷端为0℃时,镍铬合金与纯铂组成的热电偶的热电动势为2.95mV,而考铜与纯铂组成的热电偶的热电动势为-4.0mV,则镍铬和考铜组合而成的热电偶所产生的热电动势则为 2.95mV-(-4.0mV)=6.95mV。
热电偶和热电阻的差别
热电偶简介
热电偶是工业上最常用的温度检测元件之一,热电偶工作原理是基于赛贝克seeback效应,即两种不同成分的导体两端连接成回路,如两连接端温度不同,则在回路内产生热电流的物理现象。
01 热电偶基本测温原理
热电偶测温基本原理是将两种不同材料的导体或半导体焊接起来,构成一个闭合回路。由于两种不同金属所携带的电子数不同,当两个导体的二个连接点之间存在温差时,就会发生高电位向低电位放电现象,因而在回路中形成电流,温度差越大,电流越大,这种现象称为热电效应,也叫塞贝克效应。热电偶就是利用这一效应来工作的。
02 热电偶种类及结构构成
(1) 热电偶的种类
常用热电偶可分为标准热电偶和非标准热电偶两大类。标准热电偶是指国家标准规定了其热电势与温度的关系、允许误差、并有统一的标准分度表的热电偶,它有与其配套的显示仪表可供选用。非标准化热电偶在使用范围或数量级上均不及标准化热电偶,一般也没有统一的分度表,主要用于某些特殊场合的测量。
标准化热电偶我国从1988年1月1日起,热电偶和热电阻全部按IEC国际标准生产,并指定S、B、E、K、R、J、T七种标准化热电偶为我国统一设计型热电偶。
(2) 热电偶的结构形式为了保证热电偶可靠、稳定地工作,对它的结构要求如下:
①组成热电偶的两个热电极的焊接必须牢固;
②两个热电极彼此之间应很好地绝缘,以防短路;
③补偿导线与热电偶自由端的连接要方便可靠;
④保护套管应能保证热电极与有害介质充分隔离。
热电阻简介
热电阻是中低温区最常用的一种温度检测器。它的主要特点是测量精度高,性能稳定。其中铂热电阻的测量精确度是最高的,它不仅广泛应用于工业测温,而且被制成标准的基准仪。
01 热电阻测温原理及材料
热电阻测温是基于金属导体的电阻值随温度的增加而增加这一特性来进行温度测量的。热电阻大都由纯金属材料制成,目前应用最多的是铂和铜,此外,现在已开始采用镍、锰和铑等材料制造热电阻。
02 热电阻的类型
(1) 普通型热电阻
从热电阻的测温原理可知,被测温度的变化是直接通过热电阻阻值的变化来测量的,因此,热电阻体的引出线等各种导线电阻的变化会给温度测量带来影响。
(2) 铠装热电阻
铠装热电阻是由感温元件(电阻体)、引线、绝缘材料、不锈钢套管组合而成的坚实体,它的外径一般为φ2--φ8mm。与普通型热电阻相比,它有下列优点:①体积小,内部无空气隙,热惯性上,测量滞后小;②机械性能好、耐振,抗冲击;③能弯曲,便于安装;④使用寿命长。
(3) 端面热电阻
端面热电阻感温元件由特殊处理的电阻丝材绕制,紧贴在温度计端面。它与一般轴向热电阻相比,能更正确和快速地反映被测端面的实际温度,适用于测量轴瓦和其他机件的端面温度。
(4)隔爆型热电阻
隔爆型热电阻通过特殊结构的接线盒,把其外壳内部爆炸性混合气体因受到火花或电弧等影响而发生的爆炸局限在接线盒内,生产现场不会引超爆炸。隔爆型热电阻可用于Bla--B3c级区内具有爆炸危险场所的温度测量。
热电阻和热电偶的差别
1. 虽然都是接触式测温仪表,但它们的测温范围不同,热电偶使用在温度较高的环境,几种常见热电偶的测量范围如下:

除了表中的几种热电偶,还有J型,T型等。热电偶一般用于500度以上的较高温度,因它们在低温区时输出热电势很小(查表可以看一下),当电势小时,对抗干扰措施和二次表和要求很高,否则测量不准,还有,在较低的温度区域,冷端温度的变化和环境温度的变化所引起的相对误差就显得很突出,不易得到全补偿。这时在中低温度时,一般使用热电阻测温,范围为-200℃~500℃,甚至还可测更低的温度(如用碳电阻可测到1K左右的低温)。现在正常使用铂热电阻Pt100,在工业上也有用铜电阻,分度号为CU50和CU100,但测温范围较小,在-50℃~150℃之间,在一些特殊场合还有铟电阻,锰电阻。
1. 热电偶测量温度的基本原理是热电效应。二次表是一个检伏计或为了提高精度时使用电子电位差计。热电阻是基于导体和半导体的电阻值随温度而变化的特性而工作的。
2. 由热电偶测温原理可知,只有在其冷端温度恒定时,被测温度才与热电势成单值函数关系。在实际使用中,就用一种热电特性与相应热电偶特性相似的廉价的连接导线(也称为补偿导线),使热电偶冷端引伸到温度相对恒定的地方(最好为0度),如用铜--康铜做补偿导线来引申镍铬---镍硅热电阻。因此,热电偶到二次表延长线是两根。热电阻与二次表之间是用铜导线连接的,为了减小环境变化引起的测量误差,一般均采用三线制接法,其中有两根导线将热电阻串联于相邻的两个桥臂上,另一根导线是引来电源。使用时要求每根导线的电阻值与调整电阻之和都保证为5欧姆(±0.01)。
推荐阅读:




