过高的工作温度对芯片工作性能、可靠性和安全性都有很大的影响。研究表明,芯片温度每升高1℃,MOS管的驱动能力将下降约为4%,连线延迟增加5%,集成电路失效率增加一倍,因此芯片内部必须要有过温保护电路来保障芯片安全。
在电路设计上,使用了与温度成正比的电流源(PTAT电流)和具有负温度系数的PNP管(CMOS工艺中寄生)结电压作为两路差动的感温单元。这种差动的传感方式,可以提高电路对温度变化反应的灵敏度,同时,其具有的迟滞功能,可以有效的避免热振荡对芯片的损坏。
架构原理分析
1 工作原理分析
图1为本设计的原理架构,Q1为NWELLCMOS工艺中寄生PNP三极管,其集电极是必须与地点位连接,为了利用寄生PN结导通正向导通电压的负温度特性,把Q1做二极管连接(基集也接到地),这样A点和地之间的电压VA就具有了PN结正向电压的与温度成反比的性质。由于基准电路输出的偏置电压加在M0、M1、M5的栅极上,则其所在支路上都会产生PTAT电流(Proportional to Abso-lute Temperature);在提供偏置的同时,也在电阻R0上产生了与温度成正比的电压VB即B点电压随之增大。当达到某一温度TH(设定的关断温度)后,VH≥VA、比较器Comp输出高电平,经过倒相器INV后,输出TSD为低电平;此信号作用于电路的其它模块后,使整个芯片停止工作,实现热保护功能。同时,TSD信号正反馈作用于M2栅上,开启M2,加大了电阻R0上电流,使VB更高。

在芯片被热保护,停止工作后,芯片上的温度会从TH下降,使得A点电压VA慢慢上升,B点电压VB慢慢下降。由于先前TSD的正反馈作用已经使VB升高,因此在这种状态下,要出现VA≥VB使比较器输出翻转情况就需要A点有比先前的电压VA更大的电压,相应地使得下降时翻转点对应的恢复温度TL也会比TH低。当温度低于TL后,VB≥VA,通过比较器作用后,会使TSD输出高电平,使芯片恢复工作。同时,TSD信号仍然会再次正反馈作用于M2栅上,关断M2,进一步减小了电阻R0上的电流,使VB更低。
整个工作过程中,TSD的正反馈起到了迟滞的作用。使得正常工作时,TSD输出高电平作用于电路其它模块。当温度过高时,TSD输出低电平作用于电路其它模块,使芯片停止工作,保护芯片。
2 温度翻转点的计算
A点的电压VA为PN结两边电压,PN结电压的表达式可写为
式中VG为带隙电压,γ和α为器件参数,A代表了那些方程推到过程中与温度无关的常量。因为Vt=kt/q,可以得到VBE随温度上升是降低的。其关于温度变化的方程为

如果忽略由温度变化引起lnT项变化对式(2)的影响,dVBE/dT可近似等于常数C0。常温下C0约为-2 mV/K。为了简化计算,则PN结关于温度的变化方程可近似线性为![]()
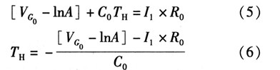
B点的电压为电阻上的电压,可由欧姆定理计算得到。计算温度上升翻转点TH,当温度上升时,由前分析可知,TSD为高电平,M2截止。因此流入R0的电流只有I1一路。此状态下VB电压的表达式为
![]()
翻转点(VA=VB)时的对应方程为

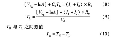
计算温度下降翻转点TL当从高于TH温度下降时,由前分析可知,TSD为低电平,M2开启。因此流入电阻R的电流有I1,I2两路。此状态下VB电压的表达式为
![]()
翻转点(VA=VB)时对应方程为

式(10)即为过温保护工作时的迟滞量。
第二页:可用于音频功放的过温保护电路设计(二)
[page]
3.实际电路设计
设计的过热保护电路大体上分为3个部分,如图3所示。


启动电路:启动电路只有在刚上电的时候才会工作,当电源电压从0 V慢慢升高,同时输入信号Shut为低电平时,开关管M37就会被打开,MOS管M38也会导通,这样就会使得在M38这条支路上的电压慢慢升高。以二极管形式连接的M40的栅端也会随之升高,也为右端的M45,M43,M42提供栅极电压,从而破坏了基准电路的平衡,使之能够启动起来。当M40的栅极电压上升到M44的阈值电压时,就会将其导通,使得产生了一个有电源到地的通路,这样也就完成了启动电路的功能。
偏着电路:此部分电路的工作原理与产生PTAT电流电路的原理基本相同,输出端的电压为其它电路提供偏置。M36、M45、Q4组成的支路将在右端支路的电流取出,经过滤波、放大后又镜像回去,在M34、M42、Q1的支路上输出一个偏置电压信号。由于电流镜的工作原理,所以要求M34~M36和M42~M45均为相同的对管。另外,此电路中M33作为关断管,当Shut信号为高电平时,M33就会处于导通状态,这样这届就会将M34、M35关断,使得整个电路关断。
热敏关断保护电路:由于基准电路输出的偏置电压加到M39、M51、M52栅极上,所以在这两条支路上都会产生PTAT电流。采用M41、M47、M48、M49、M50构成的两级比较器来实现原理等效图中Comp的功能。此比较器的第一级为PMOS差动输入。
用PMOS做差动输人的作用:(1)降低了输入的噪声。正常情况下,温度不可能有很剧烈的变化,因此温度波动的频率不可能很高,所以闪烁噪声1/f将成为噪声的主要成分。由于PMOS输入可降低噪声对电路的影响;(2)PMOS输入使共模输入范围的下限降低。此电路比较器要比较是接近于PN结VBE的电压,用PMOS构成的输入端可更好的满足这种低共模输入电压的要求。比较器的第二级为共源放大器,作为比较器的第二级,其主要作用增大了输出摆幅、提高了增益和输入的分辨率,加快了高低电平的转换速率。电路中电容C0的作用:电容C0可以抑制一些干扰量在比较器通向输入端电阻风上产生的电压波动,以防止系统被扰动引起的误动作。
4.仿真测试
按照以上设计的电路。用Cadence Specture对其进行仿真,器件的模型参数采用0.35μm CMOS工艺。图2为过温保护电路的输出控制信号TSD,随温度上升和下降的曲线。电源电压取3.3 V。从仿真结果可以看出,该电路实现了良好的“温度迟滞”特性。迟滞功能有效的避免了芯片出现热振荡问题。关断温度TH160°和恢复温度TL140°。
5.结束语
文中设计的过热保护电路,利用PTAT电流来检测温度的变化,并转换成电压信号输入两级比较器进行比较,从而产生过热保护信号。比较器的迟滞效应能有效防止热振荡现象的发生。该电路对温度感应灵敏度高,非常适合集成在集成电路芯片中。
【相关阅读】
技术达人:音频信号采集与AGC算法的DSP实现
图文详说智能手机音频放大器电路设计
射频器件知多少?功放事儿这里找





