【导读】电阻的热噪声(或约翰逊噪声,或奈奎斯特噪声,或约翰逊-奈奎斯特噪声)是由构成电阻的原子内部和原子之间的电荷载流子的自 然随机运动产生的。
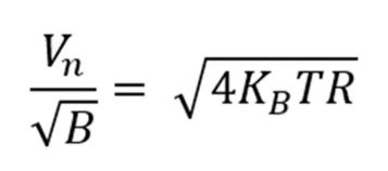
电阻的热噪声(或约翰逊噪声,或奈奎斯特噪声,或约翰逊-奈奎斯特噪声)是由构成电阻的原子内部和原子之间的电荷载流子的自 然随机运动产生的。无论组成如何,它在所有电阻中都是相等的,并且其均方根振幅由以下等式描述:

Vn = 均方根噪声电压 KB=玻尔兹曼常数=1.38 x 10-23 T=绝对温度(°K) R=电阻值(Ω) B=测量噪声的带宽(Hz)

该数字表示直流电压的值,该电压将向电阻负载提供与所讨论的噪声信号相同的功率。电阻上出现的最大瞬时噪声电压幅值在严格意义上不受限制,因为它是由随机过程驱动的,但观察到峰值振幅超过某个值的可能性随着阈值的增加而降低。通常使用6.6倍均方根值的系数来估算峰间热噪声值;热噪声的瞬时值应等于或低于99.9%(时间)均方根值的6.6倍。

各种封装形式的通孔电阻(不按比例)

各种封装形式的表面安装电阻(不按比例)

结果通常以纳伏每平方根赫兹的单位表示,然后可以针对估计的工作温度(通常约300°K)进行计算,并用作与电路中其他噪声源(例如运算放大器的输入电压噪声)进行比较的基础。
文章来源:DigiKey
免责声明:本文为转载文章,转载此文目的在于传递更多信息,版权归原作者所有。本文所用视频、图片、文字如涉及作品版权问题,请联系小编进行处理。
推荐阅读:






