【导读】在许多离线交直流LED电源中,单级PFC反激式变换器仍然是优选的拓扑类型。这很大程度上是因为其元件数量少,成本低,并具有约90%的效率和很高的功率因数,在很宽的交流输入电压范围内具有很低的线路电流谐波(iTHD)。虽然工作在230-277V交流输入范围的应用对漏-源最大额定电压的要求高达800V,但只需要一个MOSFET开关。这种变换器中的另外一个关键元件是控制芯片。
许多专用的SMPS控制器适合这种应用,它们价格不同,复杂度也不同,可根据要用到的调节类型提供不同的功能选项。为了实现不需要次级端反馈电路和光隔离器的变换器,初级端调节(PSR)是优选的技术。它可以是初级电流调节,也可以是初级电压调节,在不同情况下可以采用不同的控制方法。
随着电流负载的增加,单级恒流调节PFC反激变换器需要使用大电容,因为输出电流中存在过多低频纹波。在这种情况下,经常选用两级设计方法,即由具有恒压调节功能的PFC反激式变换器做为前端,用于克服纹波问题的恒流调节降压级电路做为后端。
在这种两级解决方案中,前端PFC反激电路需要通过电压调节为后端提供一个中间总线电压,反激电路使用变压器(更准确地说是耦合电感)的辅助绕组提供用于调节输出的电压反馈。使用这种间接感应方法可以在很宽的线路负载范围内达到±5%的精度,并且不需要任何光隔离器,因此对许多应用来说这种方法很有吸引力。
恒压PFC反激式变换器
与前向和LLC谐振变换器等SMPS拓扑相比,反激设计采用的元件数量较少,设计复杂度相对比较简单。其它拓扑也要求两级方法,一般要求从有源前端升压功率因数校正级提供稳定的直流总线电压,这就解释了为什么这些拓扑只在高端和更高功率等级的场合使用。作为升压变换器的一种衍生产品,反激变换器实际上是进行间接能量传递,即在初级MOSFET导通期间将能量存储在电感中,当MOSFET开关关断时再释放出来。其基本概念如图1所示,完整的原理图如图2所示。在功率因数校正方面,交流线路输入被馈送到一个桥式整流器,用于为转换产生非平滑的直流总线电压。

图1:包含主要元件的反激式变换器架构的基本概念图

图2:元件数最少的单级稳压反激式交直流变换器设计的完整原理图
在这个例子中,IRS2982S控制器芯片工作在临界导通模式(CrCM)。它使用变压器辅助绕组向芯片提供所需的退磁信号,进而触发随后的开关周期。这种特殊的控制器具有最小关断时间限制,因此在轻负载条件下,它会转变为非连续导通模式(DCM)。这样可以限制其最大开关频率,防止MOSFET、变压器和缓冲器出现过热。
当栅极驱动脉宽小于MOSFET高效开关所需的最小限值时,将自动进入突发模式工作。
内部精密基准和跨导型误差放大器(OTA)用于关闭电压调节环路,使得补偿网络连接到电路地,从而提供固有的软启动功能。
另外,这种控制器芯片采用了一个全集成高压启动电池,可以直接从整流后的交流线路向芯片供电,因此系统可以在任何交流输入电压条件下快速启动,并允许LED在不超过半秒的时间内点亮。
耦合电感实现
常被称为变压器的耦合电感的设计是影响变换器效率的一个关键因素。真正的变压器会直接传递能量,电流将同时流经初级和次级。而在耦合电感中,电流在某个时刻只流经一个绕组,绕组的匝比决定了从次级反映到初级的电压。
为了优化效率,初级泄漏电感应尽可能低,最好是小于初级总电感量的3%。初级绕组的前一半采用的是“三明治结构的初级绕组”技术,在完成后一半初级绕组之前先绕制次级和辅助绕组,这样可以尽最大可能减小漏磁。高泄漏电感会在MOSFET漏极产生振铃振荡并引起高峰值电压,这是由于存储的泄漏能量在初级释放而不是传递到输出级造成的,进而降低了变换器效率。这将给功率MOSFET和缓冲器网络带来一定的压力。
反激式变换器设计过程
就本例中的变换器而言,耦合电感设计和其它元件值可以根据以下规范进行计算:

表1:反激式变换器的参数
设计公式

设计公式

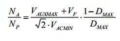
匝比等于:

辅助绕组到初级绕组的匝比等于:

辅助绕组到次级绕组的匝比等于:

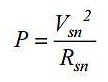
输出电容值可以根据允许的峰峰低频电压纹波进行计算:

值得注意的是,即使满足了泄漏电感目标要求,在开关关断时仍不可避免地会出现一定程度的漏极电压振铃,并可能超过额定的MOSFET击穿电压。在每个开关周期内重复发生的雪崩能量会缩短MOSFET寿命。为了避免这个问题,通常需要采用钳位网络或缓冲器。最常见的低成本解决方案是电阻-电容-二极管(RCD)钳位电路,其中的电容形成稳定的直流源,电阻用于耗散泄漏能量。
首先,缓冲器电阻值可以根据泄漏电感、峰值电流和理想的缓冲器电压进行计算:

电阻上的功耗等于:

然后根据下面的公式计算电容值:

这个电容值是根据缓冲器电容上的电压纹波数量进行计算的。

图3:利用一个专门用于测试与验证的电子负载对装配好的变换器进行测试。
测试结果
图4-7显示了详细的测试结果并对设计性能进行了总结。总之,这是一种经过验证的、可行的前端PFC反激式变换器设计方法,可以满足使用两级驱动的中高电流负载LED的成本要求。 ?




图4:直流总线和电流感测波形。

图5:140VAC线路峰值时的MOSFET漏极电压。

图6:栅极驱动(黄色),漏极电压(绿色),电流感测(CS)引脚(蓝色斜坡),ZX引脚波形(红色)。

图7:开路COMP(绿色)和ZX(紫色)波形。
作者:Peter B. Green,Kali Naraharisetti,英飞凌公司
本文来源于电子技术设计。
推荐阅读:




