【导读】在许多工业、农业或医疗领域,溶液pH值的高低是其所经常要考虑的测量项目之一。本文的主要目的是评估pH值玻璃探测器(pH glass probe)的特性,以解决硬件和软件设计时所面临到的不同挑战,并提出一种使用射频(RF)收发器模块从探测器进行无线数据传输的解决方案。
本文的第一部分将先探讨pH值探测器,接着考察与前端信号调节电路相关的不同设计挑战,以及如何在数据转换中以低成本实现高精度和可靠性。由于校准技术是提高数据处理准确度和精密度的方法,因此文中也将讨论一些校准技术,例如,在分散的预定义数据中以最小二乘法求取近似值的一般多项式拟合(general polynomial fit),以便进行pH值校准。最后,在本文的最后一部分则将会为读者介绍一款无线监控系统的参考电路设计。
了解由pH值定义的pH值探测器
水溶液的酸碱度可以是酸性、碱性或是中性。在化学领域,酸碱性是以一组数字刻度来测量,这一刻度称为pH值;根据嘉士伯基金会(Carlsberg Foundation)的解释,它代表的是氢离子浓度值(power of hydrogen)。这一刻度是对数的,从1到14。这一pH值在数学上可以pH=-log(H+)表示。
因此,如果氢离子的浓度为1.0×10-2mol/L,则pH=-log(1.0×10-2)=2。
水溶液如蒸馏水的pH值为7,这是一个中性值。pH值低于7的溶液是酸性,而pH值高于7的则被认为是碱性的溶液。对数刻度给出一种溶液与另一种溶液相比较时的酸性程度。
例如,pH值为5的溶液的酸性是pH值为6的溶液的10倍,并且比pH值为8的溶液酸性高1,000倍。
˙pH值指示剂 有许多方法可用来测量水溶液的pH值。石蕊试纸指示剂或玻璃探测器都可用来测量pH值。
˙石蕊试纸 石蕊试纸指示剂通常由从地衣(lichen)中提取出来的染料所组成,这些染料可作为pH值高低的指示剂。一旦与溶液接触,试纸就会产生化学反应,使得颜色改变,从而指出该溶液的pH值。这一范畴基本上包括两种方法:一种方法是利用缓冲溶液,将对应于已知pH值的标准颜色与浸没在测试液体中的指示剂的颜色比较;而另一种方法则是准备一张浸泡在指示剂中的pH值试纸,然后将该试纸浸入测试液体中,并将其颜色与标准颜色比较。虽然上述两种方法都很容易实现,但它们可能因为温度和测试溶液中的外来物质而很容易出错。
˙pH值玻璃探测器 最常用的pH值指示剂是pH值探测器。它是由玻璃测量电极和参考电极所组成。典型的玻璃探测器是由密封着氯化氢(HCl)溶液的薄玻璃膜所构成。外壳的内部有一条涂有AgCl的银导线,它可作为参考电极,且与HCI溶液接触。
在玻璃膜外部的氢离子会扩散穿过玻璃膜,并取代相应数量的钠离子(Na+),这些钠离子通常都存在于大多数的玻璃中。该阳离子是难以捉摸的,并且大部分会被限制在膜具有较低浓度那一侧的玻璃表面。来自Na+的过量电荷会在传感器的输出端产生电位电压。
该探测器类似于电池。当探测器置于溶液中时,测量电极将视溶液中的氢的活性而产生一个电压,并与参考电极的电位比较。当溶液的酸性变得更强(pH值更低)时,与参考电极相比,玻璃电极电位的正值会变多(+mV);而随着溶液的碱性变得更强(pH值更高)时,与参考电极相比,玻璃电极电位的负值会变多(-mV)。这两个电极之间的差异是测量到的电位,理想的状况下,典型的pH值探测器会在25℃的情况下产生59.154mV/pH单位。这通常可由能斯特(Nernst)方程式表示,如下所示:

其中:
E=具有未知活性的氢电极的电压;a=±30mV,零点公差(zero point tolerance);T=25℃时的环境温度;n=1,25℃时,原子价(离子上的电荷数); F=96,485库仑/mol,法拉第(Faraday)常数; R=8.314伏特-库仑/°Kmol,亚佛加厥数(Avogadro’s number); pH=未知溶液的氢离子浓度;pHISO=7,参考的氢离子浓度。
该方程式显示,所产生的电压取决于溶液的酸度或碱度,并且以已知的方式,随氢离子的活性而改变。溶液温度的变化改变了其氢离子的活性,当溶液温度升高时,氢离子的移动速度加快,这将导致两个电极之间的电位差增加。此外,当溶液冷却时,氢的活性会降低,使得电位差也随之降低。电极的设计让它在放进pH值为7的缓冲溶液中时,可产生零伏特(V)电位。
典型的pH值探测器将具有如表1所示的规格。

表1:pH值玻璃探测器的典型规格。
pH值探测器将在这次的研究中扮演重要的角色,因为资料的可靠性将取决于传感器的精度和稳定性。在选择pH值探测器时所要考虑的两项关键因素是:其在温度改变后的稳定时间及其在缓冲溶液pH值有所改变后的稳定时间。在Jenway的应用笔记“An Evaluation of Jenway Performance pH Electrode”中,即列出在给定测试条件下探测器在温度改变后测试其稳定性性能的数据,而在说明选择pH值探测器时所要考虑的两项关键因素时,这些资料是很好的例子。

表2,在缓冲溶液温度改变后的稳定时间。
先准备一种液体溶液,它在20℃时具有pH值为7和在60℃时具有pH值为4的缓冲液,而每一电极则稳定于在pH值为7的缓冲液中以200rpm搅拌,然后再以去离子水清洗电极,并转移到pH值为4的缓冲液的等分试样(aliquot)中4分钟。之后,该电极再次以去离子水清洗并放回到pH值为7的缓冲液中。然后确定花在读取保持稳定的时间为10秒。该测试再对每一探测器重复进行三次试验。

表3:缓冲液pH值改变后的稳定时间。
Jenway的性能与通用的pH值探测器相比,在上述给定条件下的响应速度快达50%。因为这样的仪器具有很高的样品通量(throughput of sample),所以使用此一仪器对缩短分析数据所需的时间,具有很大的效益。
传感器模拟信号调节电路
为了获得适当的信号调节电路,重要的是要了解传感器探测器的等效电路图(equivalent electrical diagram)。
如先前所述,pH值探测器是由玻璃组成,这些玻璃可产生范围为1MΩ~1GΩ的极高电阻,并且作为与pH值电压源串联的电阻,如图1所示。

图1:pH探测器等效电路配置。
即使是流经电路中每一元件(特别是测量电极的玻璃膜)的高电阻的电路电流非常小,也会在这些电阻的两端产生相对显著的电压降,严重地减少在仪表上所看到的电压值。让情况变得更糟的是,由测量电极所产生的电压差非常小,在毫伏特范围(理想情况下,在室温时的每一pH单位(per pH unit)为59.16mV。所以,执行此一任务的仪表必须非常灵敏,并也要具有极高的输入电阻。
˙模拟数字转换 对于这种类型的应用,考虑到传感器的响应时间,数据采集的取样率现在将会是一个问题。有了所规定的0.001Vrms传感器分辨率和1V的模拟数字转换器(ADC)满量程电压范围,就不需要高分辨率ADC来实现9.96位的有效分辨率。无噪声分辨率(noise free resolution)是以位为单位来定义的,其方程式为:
无噪声分辨率=log2[满量程输入电压范围/传感器峰至峰电压输出噪声](Noise free resolution=log2[full-scale input voltage range/sensor peak-to-peak voltage output noise])。
对于低功率应用,ADC的采样速率是一个很大的因素,因为ADC的采样速率与其功耗直接相关。所以考虑到传感器的响应时间,典型的ADC采样率可以设置在其最低吞吐量。为减少元件的数量,可以采用集成有ADC的微控制器。
˙收发器 传输pH值和温度数据需要一个收发器,而控制收发器则需要一个微控制器(MCU)。选择收发器和微控制器牵涉到一些关键的考虑因素。
选择收发器时应将以下几点注意事项列入考虑:1.工作频率(OF);2.最大距离范围;3.数据速率;4.授权。
1.工作频率 在设计RF传输时,工作频率必须确定sub-GHz或2.4GHz频率是否满足应用的需求。在需要高数据速率和使用宽带段(如蓝牙)的应用中,2.4GHz频率是最好的选择。但是当应用是属于工业型的,则会采用sub-GHz的频率,因为可用的专用协议容易提供网络的链路层。专有系统在sub-GHz范围内主要使用的ISM频率为433MHz、868MHz和915MHz。
2.最长的距离范围 sub-1GHz提供了远距离的能力,可适应高功率,到达超过25km的距离。当用于简单的点对点或星形拓扑时,这些频率可以有效地穿过墙壁和其他障碍物。
3.数据速率 数据速率也需要确定,因为它会影响收发器的传输距离和功率消耗。较高的数据速率会消耗较少的功率,可以应用在短距离的传输,而较低的数据速率会消耗功率,可以应用在长距离的传输。提高数据速率是一种提高功率消耗的好方法,因为它在短时间内只汲取电池的短促电流,但这也缩短了无线电覆盖的距离。
4.收发器功耗 对于电池供电的应用而言,收发器的功耗非常重要。这也是许多无线应用中的重要因素,因为它决定了数据速率和距离范围。该收发器有两个功率放大器(PA)选项,使得在使用上有更大的灵活性。单端的PA可以输出高达13dBm的RF功率,而差分PA的输出则可高达10dBm。表4可用来说明这两者各种不同的输出功率,其中也列出了PA输出功率与收发器IDD电流消耗的对照摘要。而出于对完整性的考虑,表中同时也列出了接收模式下电流消耗的数据。

表4:PA输出功率与收发器IDD电流消耗的对照摘要表。
5.授权 Sub-GHz包括433MHz、868MHz和915MHz的免授权ISM频段。此一频段不仅被广泛地应用于工业领域,且也非常适合各种无线应用。它可在世界的不同区域使用,因为这符合欧洲ETSI EN300-220法规的规定、北美FCC Part 15法规的规定,和其他类似的管制标准。
˙微控制器如图2所示,射频系统的核心是一处理器单元或微控制器,此一核心可用来处理数据及运行软件堆栈,此一软件堆栈会与用于RF传输的收发器介接,也会与用于传感器测量的pH值参考设计(RD)板介接。

图2:无线传感器数据采集和传输的方块图。
选择微控制器时应将以下几点注意事项列入考虑:1.外设(Peripheral);2.内存;3.处理能力;4.功耗。
1.外设 微控制器应与接口设备(如SPI总线)集成。收发器和pH值参考设计板通过SPI相互连接,因此需要两个SPI外设。
2.内存 微控制器因有足够数量的内存,而成为协议处理和传感器介接的地方。闪存和RAM是微控制器中两个非常关键的元件。为了确保系统不会耗尽空间,于是采用128kB。这些配置无疑可使应用程序和软件算法能够顺利地运行,同时也为可能的升级和新增功能预留了一个空间,而使得系统可以不用为这些问题头痛。
3.架构和处理能力 为了要管理复杂的计算和处理工作,微处理器的速度要够快。该系统采用32位的微控制器。尽管较低位数的处理器可能也具有足够的处理能力,但为了满足潜在更高端应用和算法的需求,该系统选择使用32位的产品。
4.微控制器功耗 微控制器的功耗应该要非常低。对于由电池供电的应用,电源必须要能运行多年且不需要维护,所以很重要。
其他系统注意事项
以下讨论除上述的设计关键之外的其他注意事项。
˙错误检查 通信处理器在发送模式中将CRC添加到有效负载,然后在接收模式下检测CRC。然后在接收模式下检测CRC。有效负载数据加上16位CRC可以使用曼彻斯特(Manchester)来编码/译码。
˙成本 系统应使用最少数量的元件和最小的电路板尺寸,因为当成本是关键的要求之一时,元件数量和电路板尺寸往往是其中的决定因素。在设计时应考虑采用由微控制器和无线设备组成的集成式解决方案,而不是分立元件。此举可消除在设计无线电和微控制器之间的互连时所面临到的挑战,让电路板的设计更简单,设计过程更加直截了当,接合线更短,从而带来不易受到干扰的结果。通过使用结合基于ARM Cortex-M的微控制器和无线电收发器的单一芯片,可以减少电路板的元件数量及电路板的布局,同时也可降低总成本。
˙校准 实现高精准度的关键之一是执行校准例程。根据能斯特方程式的描述,pH值溶液的一项特性是其对温度的高依赖性。传感器探测器只给一个恒定的偏移量,假设在所有温度级都是恒定的。由于对温度的高依赖性,该系统需要一个可确定溶液温度的传感器。
有一种方法可以采用,像能斯特方程式的直接取代法,但却会出现一定程度的误差,因为它缺少溶液的非理想属性。这种方法仅需要系统的偏移测量和未知溶液的温度读数。为了确定由传感器所引入的偏移,所以需要一种pH值为7的缓冲溶液。理想状况下,该传感器产生的输出为0V。ADC的读数将是系统的偏移电压。典型的pH值探测器传感器之偏移可高达±30mV。
另一种在现场广泛使用的方法是,通过使用多个缓冲器溶液设置一个点,以建构一般的线性或非线性方程式。在这个例程中,需要两种额外的pH值缓冲溶液,这些缓冲溶液是经NIST认证的和可被NIST追踪的。这两种额外缓冲溶液的pH值应该至少相差2。
通过缓冲溶液执行校准的方式如下:
步骤1:从第一缓冲液中取出电极元件并在用去离子水或蒸馏水冲洗后,将具有温度传感器的pH值探测器浸入第二选择的缓冲溶液中;
步骤2:重复步骤1,但使用第三缓冲溶液;
步骤3:使用所选择的缓冲溶液,依据测量到的值建立方程式。
可以使用几个数学方程式来导出用于校准的方程式。常用到的公式之一是采用点斜式的直线方程式。该方程式使用在校准期间取得的两个点:P1(Vm1,pH1)和P2(Vm2,pH2),其中P1和P2是使用所选择的缓冲溶液所获得的点。为了确定未知溶液的pH值等级,藉由一给定点Px(Vmx,pHx),可将简单的线性插值与下列方程式一起使用:
(pHx-pH1)/(Vmx-Vm1)=(pH1pH2)/(Vm1-Vm2)
或是
pHx=(Vmx-Vm1)×(pH1-pH2)/(Vm1-Vm2)+pH1
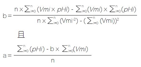
对于给定多组点的更高精度,可以使用一阶线性回归。假定给定一组n个数据点P0(Vm0, pH0)、P1(Vm1, pH1)、P2(Vm2, pH2)、P3(Vm3, pH3)…Pn(Vmn,pHn),可以以最小二乘法来建立一般方程式(pHx=a+b×Vmx),其中b是线的斜率,a是截距式,其值可分别表示如下:

最小二乘近似法可以扩展到更高的阶度,例如第二阶度的非线性方程式。第二阶的一般方程式可以如pHx=a+b×Vmx+c×Vmx2。a、b和c的计算值,如下所示:

通过代换、消去或通过矩阵法,这些方程式系统可用来求出给定的未知变量a、b和c。
硬件设计解决方案
硬件设计方案的组成要素如下:
˙缓冲放大器 在此一给定的条件下,需要一个具有高输入阻抗和输入偏置电流非常低的缓冲放大器来将电路与该高电源电阻(source resistance)隔离开来。AD8603低噪声运算放大器可作为此一应用的缓冲放大器。流过电极电阻的偏置电流会产生电压误差,而AD8603的低输入电流则可将电压误差减到最小。在200fA典型输入偏置电流的情况下,对于一个在25℃时具有1GΩ串联电阻的pH值探测器而言,偏位误差(offset error)为0.2mV(0.0037pH值)。即使在最大输入偏置电流为1pA时,误差仅为1mV。虽然没有必要,但是可以使用防护(guarding)、屏蔽(shielding)、高绝缘电阻间隙(insulation resistance standoff),及其他像是标准的皮安法(picoamp method),以便将所选缓冲器的高阻抗输入处之泄漏减到最少。
˙ADC 低功率的模拟数字转换器是较为适合此一应用的转换器。针对精密测量应用所设计的AD7792即可满足此一要求,它是一款16位的Σ-ΔADC。它具有一低噪声的3信道输入:当更新速率等于4.17Hz时,噪声仅为40nVrms。该元件以2.7~5.25V的电源供电工作,且其典型的电流消耗为400 μA。该元件采用16接脚的TSSOP封装。其他的特性还包括带有4ppm/ ℃漂移(典型值)的内部带隙基准、1μA的最大电源切断电流消耗,及一个可减少元件数量和缩小印刷电路板(PCB)尺寸的内部频率振荡器。
˙选择射频收发器 基于之前的需求,ADuCRF101是最适合预期应用的产品。ADuCRF101是一款针对低功耗无线应用而设计的完全集成式数据采集解决方案。其工作频率为431M~464MHz和862M~928MHz。ADuCRF101集成多种通信外设,芯片即可提供所需的两个SPI总线、128kB的非挥发性快闪/EE内存和16kBSRAM。它是一款微控制器和收发器的单芯片解决方案,因此可将元件数量和主板的尺寸缩减到最少和最小。
˙软件实现 软件是无线传输系统的一个关键部分。它决定了系统的行为方式,且也会影响系统的功耗。该系统有两个软件部分,也就是协议堆栈和应用堆栈。其中所使用的协议堆栈是ADRadioNet,它是一种ISM频带的无线连网协定。它使用IPv6地址并结合了这些解决方案中所被预期的大多数功能,诸如低电量、多点跳跃(multihop)、端到端确认及自我修复等。而应用堆栈则是通过SPI存取pH值参考设计板的软件。
为有效地运行这两个软件堆栈,采用一个简单的调度程序(scheduler)。非抢占式(nonpreemptive)调度程序会处理协议堆栈任务;其功能会被赋予特定的时间和特定的资源。然而,在系统中,确定任务的数量是有限的。为了有效地运作,这些确定任务的执行必须在其时间流逝之前由非抢占式调度程序完成。由于系统中有两个堆栈,非抢占式调度程序就非常适合这样的需求,因为分配给它的确定任务的数量有限。
结论
本文说明了pH值无线传感器监测在设计方面所面临到的不同挑战及其解决方案。结果显示,ADI的数据采集产品基本上是可用来解决pH值测量时所面临到的各种不同挑战。运算放大器AD8603,或任何具有高输入阻抗的等效放大器,都可用来抗衡传感器的高输出阻抗,因此可提供足够的屏蔽以防止系统负载(system loading)。ADuCRF101数据采集系统IC可为射频数据传输提供完整的解决方案。数据采集的精准度可通过使用一颗精密放大器和ADC以硬件实现,或者也可以利用数学统计来建立一般的方程式(例如不同的曲线拟合方法),以软件的校准来完成。
推荐阅读:





 
			