【导读】独石电容(多层陶瓷电容,MLCC)作为电子系统的“血液”,承担着滤波、储能、耦合等关键功能。2025年全球MLCC市场规模预计突破180亿美元,其中新能源汽车与5G基站贡献35%的需求增长。面对村田、三星电机等国际巨头,以及风华高科、宇阳科技等国内厂商的竞逐,工程师如何权衡性能、成本与供应链稳定性?本文通过技术参数拆解与多维度数据对比,提供一套工程级选型方法论。
独石电容(多层陶瓷电容,MLCC)作为电子系统的“血液”,承担着滤波、储能、耦合等关键功能。2025年全球MLCC市场规模预计突破180亿美元,其中新能源汽车与5G基站贡献35%的需求增长。面对村田、三星电机等国际巨头,以及风华高科、宇阳科技等国内厂商的竞逐,工程师如何权衡性能、成本与供应链稳定性?本文通过技术参数拆解与多维度数据对比,提供一套工程级选型方法论。
一、技术定义与核心原理
独石电容(MLCC) 是通过多层陶瓷介质与内部金属电极交替堆叠制成的高密度电容,其命名源于“单一陶瓷块”(Monolithic)结构,具有体积小、容值高的特点。
工作原理
●介电效应:钛酸钡(BaTiO3)等陶瓷材料在电场作用下极化,存储电荷。
●结构优势:通过层数增加(可达1000层以上)与层厚缩减(至1μm以下),实现高容值(μF级)与低ESR(<10mΩ)。
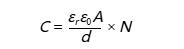
技术公式:
C=dεrε0A×N
●εr:介电常数(X7R≈2000,C0G≈100)
●N:叠层数量
二、独石电容的四大核心优势
三、应用场景与性能需求映射
四、成本与供应链深度解析
国际与国内头部厂商对比
数据来源:Paumanok 2025年MLCC市场报告、中国电子元件行业协会(CECA)
五、工程选型六大黄金法则
1. 介质类型优先匹配场景
●C0G(NP0) :高频、低损耗(5G射频、振荡电路),温漂±30ppm/℃。
●X7R/X5R:通用滤波(电源模块),温漂±15%/-15%~+85℃。
●Y5V:低成本储能(消费电子),温漂-82%~+22%。
2. 耐压裕量设计
●工业场景:实际工作电压≤50%额定电压(如50V系统选100V型号)。
●消费电子:可放宽至80%额定电压。
3. 尺寸与散热权衡
●高频场景选择小尺寸(0201/0402)以降低寄生电感;高功率场景选择大尺寸(1206)以增强散热。
4. 车规级认证要求
●AEC-Q200认证必须项:温度循环(-55~150℃,1000次)、机械振动(20G,3轴向)。
5. 国产替代策略
●替代路径:风华高科FG系列可替代村田GRM系列(容差±10% vs ±5%,价格低40%)。
●风险控制:关键位置(如ECU供电)保留双品牌冗余设计。
6. 成本优化模型
●总拥有成本(TCO) =采购成本+失效成本(更换、停产损失)。
●案例:某充电桩企业用风华高科替代三星电机,单颗成本降0.02美元,年采购成本节省120万美元,失效率仅增加0.02%。
六、未来趋势与技术突破
1. 超高容技术:村田发布0.1μF/0201(层厚0.3μm),推动TWS耳机进一步小型化。
2. 柔性MLCC:三星开发可弯曲电容(曲率半径2mm),适配折叠屏手机与柔性PCB。
3. AI辅助制造:风华高科引入机器学习优化烧结工艺,良率提升12%。
结语:从跟随到超越的中国MLCC突围之路
在“缺芯潮”与供应链本土化的双重驱动下,中国MLCC厂商正通过工艺创新与差异化竞争,逐步打破国际垄断。工程师需跳出“唯参数论”,通过系统级成本建模与场景化验证,实现性能与商业价值的最大化平衡。
推荐阅读:
基于龙芯1D的智能水表,无机械结构+NB-IoT远程监测技术解析






