【导读】功率 MOSFET 正向导通时可用一电阻等效,该电阻与温度有关,温度升高,该电阻变大;它还与门极驱动电压的大小有关,驱动电压升高,该电阻变小。MOSFET电路有各式各样,你了解的有多少呢?看完本文,让你吃透各类MOSFET电路,这是很难得的资料哦!
功率 MOSFET 正向导通时可用一电阻等效,该电阻与温度有关,温度升高,该电阻变大;它还与门极驱动电压的大小有关,驱动电压升高,该电阻变小。MOSFET电路有各式各样,你了解的有多少呢?看完本文,让你吃透各类MOSFET电路,这是很难得的资料哦!
功率MOSFET的正向导通等效电路
(1):等效电路

(2):说明:
功率 MOSFET 正向导通时可用一电阻等效,该电阻与温度有关,温度升高,该电阻变大;它还与门极驱动电压的大小有关,驱动电压升高,该电阻变小。详细的关系曲线可从制造商的手册中获得。
功率MOSFET的反向导通等效电路(1)
(1):等效电路(门极不加控制)

(2):说明:
即内部二极管的等效电路,可用一电压降等效,此二极管为MOSFET 的体二极管,多数情况下,因其特性很差,要避免使用。
功率MOSFET的反向导通等效电路(2)
(1):等效电路(门极加控制)

(2):说明:
功率 MOSFET 在门级控制下的反向导通,也可用一电阻等效,该电阻与温度有关,温度升高,该电阻变大;它还与门极驱动电压的大小有关,驱动电压升高,该电阻变小。详细的关系曲线可从制造商的手册中获得。此工作状态称为MOSFET 的同步整流工作,是低压大电流输出开关电源中非常重要的一种工作状态。
功率MOSFET的正向截止等效电路
(1):等效电路

(2):说明:
功率 MOSFET 正向截止时可用一电容等效,其容量与所加的正向电压、环境温度等有关,大小可从制造商的手册中获得。
功率MOSFET的稳态特性总结
(1):功率MOSFET 稳态时的电流/电压曲线

(2):说明:
功率 MOSFET 正向饱和导通时的稳态工作点:

当门极不加控制时,其反向导通的稳态工作点同二极管。
(3):稳态特性总结:
-- 门极与源极间的电压Vgs 控制器件的导通状态;当Vgs<Vth时,器件处于断开状态,Vth一般为 3V;当Vgs>Vth时,器件处于导通状态;器件的通态电阻与Vgs有关,Vgs大,通态电阻小;多数器件的Vgs为 12V-15V ,额定值为+-30V;
-- 器件的漏极电流额定是用它的有效值或平均值来标称的;只要实际的漏极电流有效值没有超过其额定值,保证散热没问题,则器件就是安全的;
-- 器件的通态电阻呈正温度系数,故原理上很容易并联扩容,但实际并联时,还要考虑驱动的对称性和动态均流问题;
-- 目前的 Logic-Level的功率 MOSFET,其Vgs只要 5V,便可保证漏源通态电阻很小;
-- 器件的同步整流工作状态已变得愈来愈广泛,原因是它的通态电阻非常小(目前最小的为2-4 毫欧),在低压大电流输出的DC/DC 中已是最关键的器件;
包含寄生参数的功率MOSFET等效电路
(1):等效电路

(2):说明:
实际的功率MOSFET 可用三个结电容,三个沟道电阻,和一个内部二极管及一个理想MOSFET 来等效。三个结电容均与结电压的大小有关,而门极的沟道电阻一般很小,漏极和源极的两个沟道电阻之和即为MOSFET 饱和时的通态电阻。
功率MOSFET的开通和关断过程原理
(1):开通和关断过程实验电路

(2):MOSFET 的电压和电流波形:

(3):开关过程原理:
开通过程[ t0 ~ t4 ]:
-- 在 t0 前,MOSFET 工作于截止状态,t0 时,MOSFET 被驱动开通;
-- [t0-t1]区间,MOSFET 的GS 电压经Vgg 对Cgs充电而上升,在t1时刻,到达维持电压Vth,MOSFET 开始导电;
-- [t1-t2]区间,MOSFET 的DS 电流增加,Millier 电容在该区间内因DS 电容的放电而放电,对GS 电容的充电影响不大;
-- [t2-t3]区间,至t2 时刻,MOSFET 的DS 电压降至与Vgs 相同的电压,Millier 电容大大增加,外部驱动电压对Millier 电容进行充电,GS 电容的电压不变,Millier 电容上电压增加,而DS电容上的电压继续减小;
-- [t3-t4]区间,至t3 时刻,MOSFET 的DS 电压降至饱和导通时的电压,Millier 电容变小并和GS 电容一起由外部驱动电压充电,GS 电容的电压上升,至t4 时刻为止。此时GS 电容电压已达稳态,DS 电压也达最小,即稳定的通态压降。
关断过程[ t5 ~t9 ]:
-- 在 t5 前,MOSFET 工作于导通状态, t5 时,MOSFET 被驱动关断;
-- [t5-t6]区间,MOSFET 的Cgs 电压经驱动电路电阻放电而下降,在t6 时刻,MOSFET 的通态电阻微微上升,DS 电压梢稍增加,但DS 电流不变;
-- [t6-t7]区间,在t6 时刻,MOSFET 的Millier 电容又变得很大,故GS 电容的电压不变,放电电流流过Millier 电容,使DS 电压继续增加;
-- [t7-t8]区间,至t7 时刻,MOSFET 的DS 电压升至与Vgs 相同的电压,Millier 电容迅速减小,GS 电容开始继续放电,此时DS 电容上的电压迅速上升,DS 电流则迅速下降;
-- [t8-t9]区间,至t8 时刻,GS 电容已放电至Vth,MOSFET 完全关断;该区间内GS 电容继续放电直至零。
因二极管反向恢复引起的MOSFET开关波形
(1):实验电路

(2):因二极管反向恢复引起的MOSFET 开关波形:

功率MOSFET的功率损耗公式
(1):导通损耗:

该公式对控制整流和同步整流均适用

该公式在体二极管导通时适用
(2):容性开通和感性关断损耗:


为MOSFET 器件与二极管回路中的所有分布电感只和。一般也可将这个损耗看成器件的感性关断损耗。
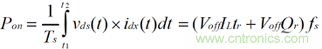
(3):开关损耗:
开通损耗:

考虑二极管反向恢复后:

关断损耗:

驱动损耗:

功率MOSFET的选择原则与步骤
(1):选择原则
(A):根据电源规格,合理选择MOSFET 器件(见下表):
(B):选择时,如工作电流较大,则在相同的器件额定参数下,
-- 应尽可能选择正向导通电阻小的 MOSFET;
-- 应尽可能选择结电容小的 MOSFET。

(2):选择步骤
(A):根据电源规格,计算所选变换器中MOSFET 的稳态参数:
-- 正向阻断电压最大值;
-- 最大的正向电流有效值;
(B):从器件商的DATASHEET 中选择合适的MOSFET,可多选一些以便实验时比较;
(C):从所选的MOSFET 的其它参数,如正向通态电阻,结电容等等,估算其工作时的最大损耗,与其它元器件的损耗一起,估算变换器的效率;
(D):由实验选择最终的MOSFET 器件。
理想开关的基本要求
(1):符号

(2):要求
(A):稳态要求:
合上 K 后
-- 开关两端的电压为零;
-- 开关中的电流有外部电路决定;
-- 开关电流的方向可正可负;
-- 开关电流的容量无限。
断开 K 后
-- 开关两端承受的电压可正可负;
-- 开关中的电流为零;
-- 开关两端的电压有外部电路决定;
-- 开关两端承受的电压容量无限。
(B):动态要求:
K 的开通
-- 控制开通的信号功率为零;
-- 开通过程的时间为零。
K 的关断
-- 控制关断的信号功率为零;
-- 关断过程的时间为零。
(3):波形

其中:H:控制高电平;L:控制低电平
-- Ion 可正可负,其值有外部电路定;
-- Voff 可正可负,其值有外部电路定。
用电子开关实现理想开关的限制
(1):电子开关的电压和电流方向有限制:
(2):电子开关的稳态开关特性有限制:
-- 导通时有电压降;(正向压降,通态电阻等)
-- 截止时有漏电流;
-- 最大的通态电流有限制;
-- 最大的阻断电压有限制;
-- 控制信号有功率要求,等等。
(3):电子开关的动态开关特性有限制:
-- 开通有一个过程,其长短与控制信号及器件内部结构有关;
-- 关断有一个过程,其长短与控制信号及器件内部结构有关;
-- 最高开关频率有限制。
目前作为开关的电子器件非常多。在开关电源中,用得最多的是二极管、MOSFET、IGBT 等,以及它们的组合。
电子开关的四种结构
(1):单象限开关

(2):电流双向(双象限)开关

(3):电压双向(双象限)开关

(4):四单象限开关

开关器件的分类
(1):按制作材料分类:
-- (Si)功率器件;
-- (Ga)功率器件;
-- (GaAs)功率器件;
-- (SiC)功率器件;
-- (GaN)功率器件;--- 下一代
-- (Diamond)功率器件;--- 再下一代
(2):按是否可控分类:
-- 完全不控器件:如二极管器件;
-- 可控制开通,但不能控制关断:如普通可控硅器件;
-- 全控开关器件
-- 电压型控制器件:如MOSFET,IGBT,IGT/COMFET ,SIT 等;
-- 电流型控制期间:如GTR,GTO 等
(3):按工作频率分类:
-- 低频功率器件:如可控硅,普通二极管等;
-- 中频功率器件:如GTR,IGBT,IGT/COMFET;
-- 高频功率器件:如MOSFET,快恢复二极管,萧特基二极管,SIT 等
(4):按额定可实现的最大容量分类:
-- 小功率器件:如MOSFET
-- 中功率器件:如IGBT
-- 大功率器件:如GTO
(5):按导电载波的粒子分类:
-- 多子器件:如MOSFET,萧特基,SIT,JFET 等
-- 少子器件:如IGBT,GTR,GTO,快恢复,等
不同开关器件的比较
(1):几种可关断器件的功率处理能力比较

(2):几种可关断器件的工作特性比较

上面的数据会随器件的发展而不断变化,仅供参考。
推荐阅读:




